Épreuve Pratique BNS 2025⚓︎
Les sujets ci-dessous correspondent à la dernière version officielle, publiée en mars 2025.
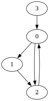
01_1
On considère dans cet exercice un graphe orienté représenté sous forme de listes d’adjacence.
On suppose que les sommets sont numérotés de 0 à n-1.
Par exemple, le graphe suivant :

est représenté par la liste d’adjacence suivante :
adj = [[1, 2], [2], [0], [0]]
Écrire une fonction voisins_entrants(adj, x) qui prend en paramètre le graphe
donné sous forme de liste d’adjacence et qui renvoie une liste contenant les voisins entrants
du sommet x, c’est-à-dire les sommets y tels qu’il existe une arête de y vers x.
Exemples :
>>> voisins_entrants([[1, 2], [2], [0], [0]], 0)
[2, 3]
>>> voisins_entrants([[1, 2], [2], [0], [0]], 1)
[0]
1 2 3 4 5 6 | |
On considère dans cet exercice un graphe orienté représenté sous forme de listes d’adjacence.
On suppose que les sommets sont numérotés de `0` à `n-1`.
Par exemple, le graphe suivant :
{: .center}
est représenté par la liste d’adjacence suivante :
```python
adj = [[1, 2], [2], [0], [0]]
```
Écrire une fonction `voisins_entrants(adj, x)` qui prend en paramètre le graphe
donné sous forme de liste d’adjacence et qui renvoie une liste contenant les voisins entrants
du sommet `x`, c’est-à-dire les sommets `y` tels qu’il existe une arête de `y` vers `x`.
Exemples :
```python
>>> voisins_entrants([[1, 2], [2], [0], [0]], 0)
[2, 3]
>>> voisins_entrants([[1, 2], [2], [0], [0]], 1)
[0]
```
01_2
On considère dans cet exercice la suite de nombre suivante : 1, 11, 21, 1211, 111221, ...
Cette suite est construite ainsi : pour passer d’une valeur à la suivante, on la lit et on l’écrit sous la forme d’un nombre. Ainsi, pour 1211 :
- on lit un 1, un 2, deux 1 ;
- on écrit donc en nombre 1 1, 1 2, 2 1 ;
- puis on concatène 111221.
Compléter la fonction nombre_suivant qui prend en entrée un nombre sous forme de
chaine de caractères et qui renvoie le nombre suivant par ce procédé, encore sous forme de
chaîne de caractères.
1 2 3 4 5 6 7 8 9 10 11 12 13 14 15 16 | |
Exemples :
>>> nombre_suivant('1211')
'111221'
>>> nombre_suivant('311')
'1321'
1 2 3 4 5 6 7 8 9 10 11 12 13 14 15 16 | |
On considère dans cet exercice la suite de nombre suivante : 1, 11, 21, 1211, 111221, ...
Cette suite est construite ainsi : pour passer d’une valeur à la suivante, on la lit et on l’écrit sous la forme d’un nombre. Ainsi, pour 1211 :
- on lit *un 1, un 2, deux 1* ;
- on écrit donc en nombre *1 1, 1 2, 2 1* ;
- puis on concatène *111221*.
Compléter la fonction `nombre_suivant` qui prend en entrée un nombre sous forme de
chaine de caractères et qui renvoie le nombre suivant par ce procédé, encore sous forme de
chaîne de caractères.
```python linenums='1'
def nombre_suivant(s):
'''Renvoie le nombre suivant de celui representé par s
en appliquant le procédé de lecture.'''
resultat = ''
chiffre = s[0]
compte = 1
for i in range(...):
if s[i] == chiffre:
compte = ...
else:
resultat += ... + ...
chiffre = ...
...
lecture_... = ... + ...
resultat += lecture_chiffre
return resultat
```
Exemples :
```python
>>> nombre_suivant('1211')
'111221'
>>> nombre_suivant('311')
'1321'
```
02_1
Écrire une fonction max_et_indice qui prend en paramètre un tableau non vide tab de
nombres entiers et qui renvoie la valeur du plus grand élément de ce tableau ainsi que
l’indice de sa première apparition dans ce tableau.
L’utilisation de la fonction native max n’est pas autorisée.
Exemples :
>>> max_et_indice([1, 5, 6, 9, 1, 2, 3, 7, 9, 8])
(9, 3)
>>> max_et_indice([-2])
(-2, 0)
>>> max_et_indice([-1, -1, 3, 3, 3])
(3, 2)
>>> max_et_indice([1, 1, 1, 1])
(1, 0)
1 2 3 4 5 6 7 8 9 10 11 12 | |
Écrire une fonction `max_et_indice` qui prend en paramètre un tableau non vide `tab` de
nombres entiers et qui renvoie la valeur du plus grand élément de ce tableau ainsi que
l’indice de sa première apparition dans ce tableau.
L’utilisation de la fonction native `max` n’est pas autorisée.
Exemples :
```python
>>> max_et_indice([1, 5, 6, 9, 1, 2, 3, 7, 9, 8])
(9, 3)
>>> max_et_indice([-2])
(-2, 0)
>>> max_et_indice([-1, -1, 3, 3, 3])
(3, 2)
>>> max_et_indice([1, 1, 1, 1])
(1, 0)
```
02_2
L’ordre des gènes sur un chromosome est représenté par un tableau ordre de n cases
d’entiers distincts deux à deux et compris entre 1 et n.
Par exemple, ordre = [5, 4, 3, 6, 7, 2, 1, 8, 9] dans le cas n = 9.
On dit qu’il y a un point de rupture dans ordre dans chacune des situations suivantes :
- la première valeur de
ordren’est pas 1 ; - l’écart entre deux gènes consécutifs n’est pas égal à 1 ;
- la dernière valeur de
ordren’est pas n.
Par exemple, si ordre = [5, 4, 3, 6, 7, 2, 1, 8, 9] avec n = 9, on a
- un point de rupture au début car 5 est différent de 1
- un point de rupture entre 3 et 6 (l’écart est de 3)
- un point de rupture entre 7 et 2 (l’écart est de 5)
- un point de rupture entre 1 et 8 (l’écart est de 7)
Il y a donc 4 points de rupture.
Compléter les fonctions Python est_un_ordre et nombre_points_rupture
proposées à la page suivante pour que :
-
la fonction
est_un_ordrerenvoieTruesi le tableau passé en paramètre représente bien un ordre de gènes de chromosome etFalsesinon ; -
la fonction
nombre_points_rupturerenvoie le nombre de points de rupture d’un tableau passé en paramètre représentant l’ordre de gènes d’un chromosome.
1 2 3 4 5 6 7 8 9 10 11 12 13 14 15 16 17 18 19 20 21 22 23 24 25 26 27 28 29 30 31 32 33 34 | |
Exemples :
>>> est_un_ordre([1, 6, 2, 8, 3, 7])
False
>>> est_un_ordre([5, 4, 3, 6, 7, 2, 1, 8, 9])
True
>>> nombre_points_rupture([5, 4, 3, 6, 7, 2, 1, 8, 9])
4
>>> nombre_points_rupture([1, 2, 3, 4, 5])
0
>>> nombre_points_rupture([1, 6, 2, 8, 3, 7, 4, 5])
7
>>> nombre_points_rupture([2, 1, 3, 4])
2
1 2 3 4 5 6 7 8 9 10 11 12 13 14 15 16 17 18 19 20 21 22 23 24 25 26 27 28 29 30 31 32 33 34 | |
L’ordre des gènes sur un chromosome est représenté par un tableau `ordre` de `n` cases
d’entiers distincts deux à deux et compris entre 1 et `n`.
Par exemple, `ordre = [5, 4, 3, 6, 7, 2, 1, 8, 9]` dans le cas `n = 9`.
On dit qu’il y a un point de rupture dans `ordre` dans chacune des situations suivantes :
- la première valeur de `ordre` n’est pas 1 ;
- l’écart entre deux gènes consécutifs n’est pas égal à 1 ;
- la dernière valeur de `ordre` n’est pas n.
Par exemple, si `ordre = [5, 4, 3, 6, 7, 2, 1, 8, 9]` avec `n = 9`, on a
- un point de rupture au début car 5 est différent de 1
- un point de rupture entre 3 et 6 (l’écart est de 3)
- un point de rupture entre 7 et 2 (l’écart est de 5)
- un point de rupture entre 1 et 8 (l’écart est de 7)
Il y a donc 4 points de rupture.
Compléter les fonctions Python `est_un_ordre` et `nombre_points_rupture`
proposées à la page suivante pour que :
- la fonction `est_un_ordre` renvoie `True` si le tableau passé en paramètre
représente bien un ordre de gènes de chromosome et `False` sinon ;
- la fonction `nombre_points_rupture` renvoie le nombre de points de rupture
d’un tableau passé en paramètre représentant l’ordre de gènes d’un
chromosome.
```python linenums='1'
def est_un_ordre(tab):
'''
Renvoie True si tab est de longueur n et contient tous les
entiers de 1 à n, False sinon
'''
n = len(tab)
# les entiers vus lors du parcours
vus = ...
for x in tab:
if x < ... or x >... or ...:
return False
... .append(...)
return True
def nombre_points_rupture(ordre):
'''
Renvoie le nombre de point de rupture de ordre qui représente
un ordre de gènes de chromosome
'''
# on vérifie que ordre est un ordre de gènes
assert ...
n = len(ordre)
nb = 0
if ordre[...] != 1: # le premier n'est pas 1
nb = nb + 1
i = 0
while i < ...:
if ... not in [-1, 1]: # l'écart n'est pas 1
nb = nb + 1
i = i + 1
if ordre[i] != ...: # le dernier n'est pas n
nb = nb + 1
return nb
```
Exemples :
```python
>>> est_un_ordre([1, 6, 2, 8, 3, 7])
False
>>> est_un_ordre([5, 4, 3, 6, 7, 2, 1, 8, 9])
True
>>> nombre_points_rupture([5, 4, 3, 6, 7, 2, 1, 8, 9])
4
>>> nombre_points_rupture([1, 2, 3, 4, 5])
0
>>> nombre_points_rupture([1, 6, 2, 8, 3, 7, 4, 5])
7
>>> nombre_points_rupture([2, 1, 3, 4])
2
```
03_1
On s’intéresse à la suite d’entiers définie par :
- les deux premières valeurs sont égales à 1 ;
- ensuite, chaque valeur est obtenue en faisant la somme des deux valeurs qui la précèdent.
La troisième valeur est donc \(1+1 = 2\), la quatrième est \(1+2 = 3\), la cinquième est \(2+3 = 5\), la sixième est \(3 + 5 = 8\), et ainsi de suite.
Cette suite d’entiers est connue sous le nom de suite de Fibonacci.
Écrire en Python une fonction fibonacci qui prend en paramètre un entier n supposé
strictement positif et qui renvoie le terme d’indice n de cette suite.
Exemples :
>>> fibonacci(1)
1
>>> fibonacci(2)
1
>>> fibonacci(25)
75025
Version récursive :
1 2 3 4 5 | |
Version programmation dynamique bottom-up:
1 2 3 4 5 6 7 | |
Version programmation dynamique top-down avec mémoïsation:
1 2 3 4 5 6 | |
On peut constater que la version récursive échoue à calculer fibonacci(45), alors que les deux autres versions le font quasi-immédiatement.
On s’intéresse à la suite d’entiers définie par :
- les deux premières valeurs sont égales à 1 ;
- ensuite, chaque valeur est obtenue en faisant la somme des deux valeurs qui la précèdent.
La troisième valeur est donc $1+1 = 2$, la quatrième est $1+2 = 3$, la cinquième est $2+3 = 5$,
la sixième est $3 + 5 = 8$, et ainsi de suite.
Cette suite d’entiers est connue sous le nom de suite de Fibonacci.
Écrire en Python une fonction `fibonacci` qui prend en paramètre un entier `n` supposé
strictement positif et qui renvoie le terme d’indice `n` de cette suite.
Exemples :
```python
>>> fibonacci(1)
1
>>> fibonacci(2)
1
>>> fibonacci(25)
75025
```
03_2
On considère la fonction eleves_du_mois prenant en paramètres eleves et notes deux
tableaux non vides de même longueur, le premier contenant le nom des élèves et le second, des
entiers positifs désignant leur note à un contrôle de sorte que eleves[i] a obtenu la
note notes[i].
Cette fonction renvoie le couple constitué de la note maximale attribuée et des noms des élèves ayant obtenu cette note regroupés dans un tableau.
Ainsi, l’instruction eleves_du_mois(['a', 'b', 'c', 'd'], [15, 18, 12, 18]) renvoie
le couple (18, ['b', 'd']).
1 2 3 4 5 6 7 8 9 10 11 12 | |
Compléter ce code.
Exemples :
>>> eleves_nsi = ['a','b','c','d','e','f','g','h','i','j']
>>> notes_nsi = [30, 40, 80, 60, 58, 80, 75, 80, 60, 24]
>>> eleves_du_mois(eleves_nsi, notes_nsi)
(80, ['c', 'f', 'h'])
1 2 3 4 5 6 7 8 9 10 11 12 | |
On considère la fonction `eleves_du_mois` prenant en paramètres `eleves` et `notes` deux
tableaux non vides de même longueur, le premier contenant le nom des élèves et le second, des
entiers positifs désignant leur note à un contrôle de sorte que `eleves[i]` a obtenu la
note `notes[i]`.
Cette fonction renvoie le couple constitué de la note maximale attribuée et des noms
des élèves ayant obtenu cette note regroupés dans un tableau.
Ainsi, l’instruction `eleves_du_mois(['a', 'b', 'c', 'd'], [15, 18, 12, 18])` renvoie
le couple `(18, ['b', 'd'])`.
```python linenums='1'
def eleves_du_mois(eleves, notes):
note_maxi = 0
meilleurs_eleves = ...
for i in range(...) :
if notes[i] == ... :
meilleurs_eleves.append(...)
elif notes[i] > note_maxi:
note_maxi = ...
meilleurs_eleves = [...]
return (note_maxi,meilleurs_eleves)
```
Compléter ce code.
Exemples :
```python
>>> eleves_nsi = ['a','b','c','d','e','f','g','h','i','j']
>>> notes_nsi = [30, 40, 80, 60, 58, 80, 75, 80, 60, 24]
>>> eleves_du_mois(eleves_nsi, notes_nsi)
(80, ['c', 'f', 'h'])
```
04_1
Écrire une fonction ecriture_binaire_entier_positif qui prend en paramètre un
entier positif n et renvoie une une chaine de caractère correspondant à l‘écriture binaire de n.
On rappelle que :
- l’écriture binaire de 25 est 11001 car \(25 = 1 \times 2^4 + 1 \times 2^3 + 0 \times 2^2 + 0 \times 2^1 + 1 \times 2^0\) ;
n % 2vaut 0 ou 1 selon quenest pair ou impair ;n // 2donne le quotient de la division euclidienne denpar 2.
Il est interdit dans cet exercice d’utiliser la fonction bin de Python.
Exemples :
>>> 5 % 2
1
>>> 5 // 2
2
>>> ecriture_binaire_entier_positif(0)
'0'
>>> ecriture_binaire_entier_positif(2)
'10'
>>> ecriture_binaire_entier_positif(105)
'1101001'
1 2 3 4 5 6 7 8 | |
Écrire une fonction `ecriture_binaire_entier_positif` qui prend en paramètre un
entier positif `n` et renvoie une une chaine de caractère correspondant à l‘écriture binaire de `n`.
On rappelle que :
- l’écriture binaire de 25 est 11001 car $25 = 1 \times 2^4 + 1 \times 2^3 + 0 \times 2^2 + 0 \times 2^1 + 1 \times 2^0$ ;
- `n % 2` vaut 0 ou 1 selon que `n` est pair ou impair ;
- `n // 2` donne le quotient de la division euclidienne de `n` par 2.
Il est interdit dans cet exercice d’utiliser la fonction `bin` de Python.
Exemples :
```python
>>> 5 % 2
1
>>> 5 // 2
2
>>> ecriture_binaire_entier_positif(0)
'0'
>>> ecriture_binaire_entier_positif(2)
'10'
>>> ecriture_binaire_entier_positif(105)
'1101001'
```
04_2
La fonction tri_bulles prend en paramètre une liste tab d’entiers (type list) et le modifie pour le trier par ordre croissant.
Le tri à bulles est un tri en place qui commence par placer le plus grand élément en
dernière position en parcourant le tableau de gauche à droite et en échangeant au passage
les éléments voisins mal ordonnés (si la valeur de l’élément d’indice i a une valeur
strictement supérieure à celle de l’indice i + 1, ils sont échangés). Le tri place ensuite
en avant-dernière position le plus grand élément du tableau privé de son dernier élément
en procédant encore à des échanges d’éléments voisins. Ce principe est répété jusqu’à
placer le minimum en première position.
Exemple : pour trier le tableau [7, 9, 4, 3] :
- première étape : 7 et 9 ne sont pas échangés, puis 9 et 4 sont échangés, puis 9 et
3 sont échangés, le tableau est alors
[7, 4, 3, 9] - deuxième étape : 7 et 4 sont échangés, puis 7 et 3 sont échangés, le tableau est
alors
[4, 3, 7, 9] - troisième étape : 4 et 3 sont échangés, le tableau est alors
[3, 4, 7, 9]
Compléter le code Python ci-dessous qui implémente la fonction tri_bulles.
1 2 3 4 5 6 7 8 9 10 11 12 13 14 | |
Exemples :
>>> tab = []
>>> tri_bulles(tab)
>>> tab
[]
>>> tab2 = [9, 3, 7, 2, 3, 1, 6]
>>> tri_bulles(tab2)
>>> tab2
[1, 2, 3, 3, 6, 7, 9]
>>> tab3 = [9, 7, 4, 3]
>>> tri_bulles(tab3)
>>> tab3
[3, 4, 7, 9]
1 2 3 4 5 6 7 8 9 10 11 12 13 14 | |
La fonction `tri_bulles` prend en paramètre une liste `tab` d’entiers (type `list`) et le modifie pour le trier par ordre croissant.
Le tri à bulles est un tri en place qui commence par placer le plus grand élément en
dernière position en parcourant le tableau de gauche à droite et en échangeant au passage
les éléments voisins mal ordonnés (si la valeur de l’élément d’indice `i` a une valeur
strictement supérieure à celle de l’indice `i + 1`, ils sont échangés). Le tri place ensuite
en avant-dernière position le plus grand élément du tableau privé de son dernier élément
en procédant encore à des échanges d’éléments voisins. Ce principe est répété jusqu’à
placer le minimum en première position.
Exemple : pour trier le tableau `[7, 9, 4, 3]` :
- première étape : 7 et 9 ne sont pas échangés, puis 9 et 4 sont échangés, puis 9 et
3 sont échangés, le tableau est alors `[7, 4, 3, 9]`
- deuxième étape : 7 et 4 sont échangés, puis 7 et 3 sont échangés, le tableau est
alors `[4, 3, 7, 9]`
- troisième étape : 4 et 3 sont échangés, le tableau est alors `[3, 4, 7, 9]`
Compléter le code Python ci-dessous qui implémente la fonction tri_bulles.
```python linenums='1'
def echange(tab, i, j):
'''Echange les éléments d'indice i et j dans le tableau tab.'''
temp = ...
tab[i] = ...
tab[j] = ...
def tri_bulles(tab):
'''Trie le tableau tab dans l'ordre croissant
par la méthode du tri à bulles.'''
n = len(tab)
for i in range(...):
for j in range(...):
if ... > ...:
echange(tab, j, ...)
```
Exemples :
```python
>>> tab = []
>>> tri_bulles(tab)
>>> tab
[]
>>> tab2 = [9, 3, 7, 2, 3, 1, 6]
>>> tri_bulles(tab2)
>>> tab2
[1, 2, 3, 3, 6, 7, 9]
>>> tab3 = [9, 7, 4, 3]
>>> tri_bulles(tab3)
>>> tab3
[3, 4, 7, 9]
```
05_1
Programmer une fonction renverse, prenant en paramètre une chaîne de caractères mot et renvoie cette chaîne de caractères en ordre inverse.
Exemple :
>>> renverse("")
""
>>> renverse("abc")
"cba"
>>> renverse("informatique")
"euqitamrofni"
1 2 3 4 5 | |
Programmer une fonction `renverse`, prenant en paramètre une chaîne de caractères `mot` et renvoie cette chaîne de caractères en ordre inverse.
Exemple :
```python
>>> renverse("")
""
>>> renverse("abc")
"cba"
>>> renverse("informatique")
"euqitamrofni"
```
05_2
Un nombre premier est un nombre entier naturel qui admet exactement deux diviseurs distincts entiers et positifs : 1 et lui-même.
Le crible d’Ératosthène permet de déterminer les nombres premiers plus petit qu’un certain
nombre n fixé.
On considère pour cela un tableau tab de nbooléens, initialement tous égaux à True, sauf
tab[0] et tab[1] qui valent False, 0 et 1 n’étant pas des nombres premiers.
On parcourt alors ce tableau de gauche à droite.
Pour chaque indice i :
-
si
tab[i]vautTrue: le nombreiest premier et on donne la valeurFalseà toutes les cases du tableau dont l’indice est un multiple dei, à partir de2*i(c’est-à-dire2*i,3*i...). -
si
tab[i]vautFalse: le nombrein’est pas premier et on n’effectue aucun changement sur le tableau.
On dispose de la fonction crible, incomplète et donnée ci-dessous, prenant en paramètre un
entier n supérieur à 1 et renvoyant un tableau contenant tous les nombres premiers plus
petits que n.
1 2 3 4 5 6 7 8 9 10 11 12 13 14 | |
Exemples :
>>> crible(40)
[2, 3, 5, 7, 11, 13, 17, 19, 23, 29, 31, 37]
>>> crible(5)
[2, 3]
1 2 3 4 5 6 7 8 9 10 11 12 13 14 | |
Un nombre premier est un nombre entier naturel qui admet exactement deux diviseurs distincts
entiers et positifs : 1 et lui-même.
Le crible d’Ératosthène permet de déterminer les nombres premiers plus petit qu’un certain
nombre `n` fixé.
On considère pour cela un tableau `tab` de `n`booléens, initialement tous égaux à `True`, sauf
`tab[0]` et `tab[1]` qui valent `False`, 0 et 1 n’étant pas des nombres premiers.
On parcourt alors ce tableau de gauche à droite.
Pour chaque indice `i` :
- si `tab[i]` vaut `True` : le nombre `i` est premier et on donne la valeur `False` à toutes les
cases du tableau dont l’indice est un multiple de `i`, à partir de `2*i` (c’est-à-dire `2*i`, `3*i` ...).
- si `tab[i]` vaut `False` : le nombre `i` n’est pas premier et on n’effectue aucun
changement sur le tableau.
On dispose de la fonction `crible`, incomplète et donnée ci-dessous, prenant en paramètre un
entier `n` supérieur à 1 et renvoyant un tableau contenant tous les nombres premiers plus
petits que `n`.
```python linenums='1'
def crible(n):
"""Renvoie un tableau contenant tous les nombres premiers
plus petits que n."""
premiers = []
tab = [True] * n
tab[0], tab[1] = False, False
for i in range(n):
if tab[i]:
premiers....
multiple = ...
while multiple < n:
tab[multiple] = ...
multiple = ...
return premiers
```
Exemples :
```python
>>> crible(40)
[2, 3, 5, 7, 11, 13, 17, 19, 23, 29, 31, 37]
>>> crible(5)
[2, 3]
```
06_1
On rappelle que :
- le nombre \(a^n\) est le nombre \(a \times a \times a \times \dots \times a\), où le facteur \(a\) apparaît \(n\) fois,
- en langage Python, l’instruction
t[-1]permet d’accéder au dernier élément du tableaut.
Dans cet exercice, l’opérateur ** et la fonction pow ne sont pas autorisés.
Programmer en langage Python une fonction liste_puissances qui prend en arguments
un nombre entier a, un entier strictement positif n et qui renvoie la liste de ses puissances
\(\rm{[a^1, a^2, ..., a^n]}\).
Programmer également une fonction liste_puisssances_borne qui prend en
arguments un nombre entier a supérieur ou égal à 2 et un entier borne, et qui renvoie la
liste de ses puissances, à l’exclusion de \(\rm{a^0}\), strictement inférieures à borne.
Exemples :
>>> liste_puissances(3, 5)
[3, 9, 27, 81, 243]
>>> liste_puissances(-2, 4)
[-2, 4, -8, 16]
>>> liste_puissances_borne(2, 16)
[2, 4, 8]
>>> liste_puissances_borne(2, 17)
[2, 4, 8, 16]
>>> liste_puissances_borne(5, 5)
[]
1 2 3 4 5 6 7 8 9 10 11 12 13 | |
On rappelle que :
- le nombre $a^n$ est le nombre $a \times a \times a \times \dots \times a$, où le facteur $a$ apparaît $n$ fois,
- en langage Python, l’instruction `t[-1]` permet d’accéder au dernier élément du
tableau `t`.
Dans cet exercice, l’opérateur ```**``` et la fonction `pow` ne sont pas autorisés.
Programmer en langage Python une fonction `liste_puissances` qui prend en arguments
un nombre entier `a`, un entier strictement positif `n` et qui renvoie la liste de ses puissances
$\rm{[a^1, a^2, ..., a^n]}$.
Programmer également une fonction `liste_puisssances_borne` qui prend en
arguments un nombre entier `a` supérieur ou égal à 2 et un entier `borne`, et qui renvoie la
liste de ses puissances, à l’exclusion de $\rm{a^0}$, strictement inférieures à `borne`.
Exemples :
```python
>>> liste_puissances(3, 5)
[3, 9, 27, 81, 243]
>>> liste_puissances(-2, 4)
[-2, 4, -8, 16]
>>> liste_puissances_borne(2, 16)
[2, 4, 8]
>>> liste_puissances_borne(2, 17)
[2, 4, 8, 16]
>>> liste_puissances_borne(5, 5)
[]
```
06_2
On affecte à chaque lettre de l'alphabet un code selon le tableau ci-dessous :
| A | B | C | D | E | F | G | H | I | J | K | L | M |
|---|---|---|---|---|---|---|---|---|---|---|---|---|
| 1 | 2 | 3 | 4 | 5 | 6 | 7 | 8 | 9 | 10 | 11 | 12 | 13 |
| N | O | P | Q | R | S | T | U | V | W | X | Y | Z |
|---|---|---|---|---|---|---|---|---|---|---|---|---|
| 14 | 15 | 16 | 17 | 18 | 19 | 20 | 21 | 22 | 23 | 24 | 25 | 26 |
Cette table de correspondance est stockée dans un dictionnaire dico où les clés sont les
lettres de l’alphabet et les valeurs les codes correspondants.
dico = {"A": 1, "B": 2, "C": 3, "D": 4, "E": 5, "F": 6,
"G": 7, "H": 8, "I": 9, "J": 10, "K": 11, "L": 12,
"M": 13, "N": 14, "O": 15, "P": 16, "Q": 17,
"R": 18, "S": 19, "T": 20, "U": 21, "V": 22,
"W": 23, "X": 24, "Y": 25, "Z": 26}
Pour un mot donné, on détermine d’une part son code alphabétique concaténé, obtenu par la juxtaposition des codes de chacun de ses caractères, et d’autre part, son code additionné, qui est la somme des codes de chacun de ses caractères.
Par ailleurs, on dit que ce mot est « parfait » si le code additionné divise le code concaténé.
Exemples :
-
Pour le mot
"PAUL", le code concaténé est la chaîne'1612112', soit l’entier 1 612 112. Son code additionné est l’entier 50 car 16 + 1 + 21 + 12 = 50. 50 ne divise pas l’entier 1 612 112 ; par conséquent, le mot"PAUL"n’est pas parfait. -
Pour le mot
"ALAIN", le code concaténé est la chaîne'1121914', soit l’entier 1 121 914. Le code additionné est l’entier 37 car 1 + 12 + 1 + 9 + 14 = 37. 37 divise l’entier 1 121 914 ; par conséquent, le mot"ALAIN"est parfait.
Compléter la fonction codes_parfait située à la page suivante et qui prend en paramètre
un mot en majuscule et renvoie un triplet constitué du code additionné, du code concaténé
et d’un booléen indiquant si le mot est parfait ou non.
On rappelle que pour tester si un entier b divise un entier a, on utilise l'opérateur modulo a % b qui renvoie le reste de la division euclidienne de a par b. Si a % b vaut 0, alors b divise a.
1 2 3 4 5 6 7 8 9 10 11 12 13 14 | |
Exemples :
>>> codes_parfait("PAUL")
(50, 1612112, False)
>>> codes_parfait("ALAIN")
(37, 1121914, True)
1 2 3 4 5 6 7 8 9 10 11 12 13 14 15 16 17 | |
On affecte à chaque lettre de l'alphabet un code selon le tableau ci-dessous :
| A | B | C | D | E | F | G | H | I | J | K | L | M |
|:-:|:-:|:-:|:-:|:-:|:-:|:-:|:-:|:-:|:-:|:-:|:-:|:-:|
| 1 | 2 | 3 | 4 | 5 | 6 | 7 | 8 | 9 | 10 | 11 | 12 | 13 |
| N | O | P | Q | R | S | T | U | V | W | X | Y | Z |
|:-:|:-:|:-:|:-:|:-:|:-:|:-:|:-:|:-:|:-:|:-:|:-:|:-:|
| 14 | 15 | 16 | 17 | 18 | 19 | 20 | 21 | 22 | 23 | 24 | 25 | 26 |
Cette table de correspondance est stockée dans un dictionnaire `dico` où les clés sont les
lettres de l’alphabet et les valeurs les codes correspondants.
```python
dico = {"A": 1, "B": 2, "C": 3, "D": 4, "E": 5, "F": 6,
"G": 7, "H": 8, "I": 9, "J": 10, "K": 11, "L": 12,
"M": 13, "N": 14, "O": 15, "P": 16, "Q": 17,
"R": 18, "S": 19, "T": 20, "U": 21, "V": 22,
"W": 23, "X": 24, "Y": 25, "Z": 26}
```
Pour un mot donné, on détermine d’une part son *code alphabétique concaténé*, obtenu
par la juxtaposition des codes de chacun de ses caractères, et d’autre part, *son code
additionné*, qui est la somme des codes de chacun de ses caractères.
Par ailleurs, on dit que ce mot est « *parfait* » si le code additionné divise le code concaténé.
Exemples :
- Pour le mot `"PAUL"`, le code concaténé est la chaîne `'1612112'`, soit l’entier 1 612 112.
Son code additionné est l’entier 50 car 16 + 1 + 21 + 12 = 50.
50 ne divise pas l’entier 1 612 112 ; par conséquent, le mot `"PAUL"` n’est pas
parfait.
- Pour le mot `"ALAIN"`, le code concaténé est la chaîne `'1121914'`, soit l’entier
1 121 914. Le code additionné est l’entier 37 car 1 + 12 + 1 + 9 + 14 = 37.
37 divise l’entier 1 121 914 ; par conséquent, le mot `"ALAIN"` est parfait.
Compléter la fonction `codes_parfait` située à la page suivante et qui prend en paramètre
un mot en majuscule et renvoie un triplet constitué du code additionné, du code concaténé
et d’un booléen indiquant si le mot est parfait ou non.
On rappelle que pour tester si un entier `b` divise un entier `a`, on utilise l'opérateur modulo `a % b` qui renvoie le reste de la division euclidienne de `a` par `b`. Si `a % b` vaut 0, alors `b` divise `a`.
```python linenums='1'
def codes_parfait(mot):
"""Renvoie un triplet
(code_additionne, code_concatene, mot_est_parfait) où :
- code_additionne est la somme des codes des lettres du mot ;
- code_concatene est le code des lettres du mot concaténées ;
- mot_est_parfait est un booléen indiquant si le mot est parfait."""
code_concatene = ""
code_additionne = ...
for c in mot:
code_concatene = code_concatene + ...
code_additionne = code_additionne + ...
code_concatene = int(code_concatene)
mot_est_parfait = ...
return code_additionne, code_concatene, mot_est_parfait
```
Exemples :
```python
>>> codes_parfait("PAUL")
(50, 1612112, False)
>>> codes_parfait("ALAIN")
(37, 1121914, True)
```
08_1
Écrire la fonction maximum_tableau, prenant en paramètre un tableau non vide de nombres tab (de type
list) et renvoyant le plus grand élément de ce tableau.
Exemples :
>>> maximum_tableau([98, 12, 104, 23, 131, 9])
131
>>> maximum_tableau([-27, 24, -3, 15])
24
1 2 3 4 5 6 | |
Écrire la fonction `maximum_tableau`, prenant en paramètre un tableau non vide de nombres `tab` (de type
`list`) et renvoyant le plus grand élément de ce tableau.
Exemples :
```python
>>> maximum_tableau([98, 12, 104, 23, 131, 9])
131
>>> maximum_tableau([-27, 24, -3, 15])
24
```
08_2
On dispose de chaînes de caractères contenant uniquement des parenthèses ouvrantes et fermantes.
Un parenthésage est correct si :
- le nombre de parenthèses ouvrantes de la chaîne est égal au nombre de parenthèses fermantes.
- en parcourant la chaîne de gauche à droite, le nombre de parenthèses déjà ouvertes doit être, à tout moment, supérieur ou égal au nombre de parenthèses déjà fermées.
Ainsi, ((()())(())) est un parenthésage correct.
Les parenthésages ())(() et (())(() sont, eux, incorrects.
On dispose du code de la classe Pile suivant :
1 2 3 4 5 6 7 8 9 10 11 12 13 14 15 16 17 18 19 20 | |
On souhaite programmer une fonction bon_parenthesage qui prend en paramètre une chaîne de caractères ch formée de
parenthèses et renvoie True si la chaîne est bien parenthésée et False sinon.
Cette fonction utilise une pile et suit le principe suivant : en parcourant la chaîne de gauche à droite, si on trouve une parenthèse ouvrante, on l’empile au sommet de la pile et si on trouve une parenthèse fermante, on dépile (si possible) la parenthèse ouvrante stockée au sommet de la pile.
La chaîne est alors bien parenthésée si, à la fin du parcours, la pile est vide.
Elle est, par contre, mal parenthésée :
- si dans le parcours, on trouve une parenthèse fermante, alors que la pile est vide ;
- ou si, à la fin du parcours, la pile n’est pas vide.
Compléter le code de la fonction bon_parenthesage ci-dessous:
1 2 3 4 5 6 7 8 9 10 11 12 13 | |
Exemples :
>>> bon_parenthesage("((()())(()))")
True
>>> bon_parenthesage("())(()")
False
>>> bon_parenthesage("(())(()")
False
1 2 3 4 5 6 7 8 9 10 11 12 13 14 15 16 17 18 19 20 21 22 23 24 25 26 27 28 29 30 31 32 33 | |
On dispose de chaînes de caractères contenant uniquement des parenthèses ouvrantes et
fermantes.
Un parenthésage est correct si :
- le nombre de parenthèses ouvrantes de la chaîne est égal au nombre de parenthèses
fermantes.
- en parcourant la chaîne de gauche à droite, le nombre de parenthèses déjà ouvertes doit
être, à tout moment, supérieur ou égal au nombre de parenthèses déjà fermées.
Ainsi, `((()())(()))` est un parenthésage correct.
Les parenthésages `())(()` et `(())(()` sont, eux, incorrects.
On dispose du code de la classe `Pile` suivant :
```python linenums='1'
class Pile:
"""Classe définissant une structure de pile."""
def __init__(self):
self.contenu = []
def est_vide(self):
"""Renvoie un booléen indiquant si la pile est vide."""
return self.contenu == []
def empiler(self, v):
"""Place l'élément v au sommet de la pile"""
self.contenu.append(v)
def depiler(self):
"""
Retire et renvoie l'élément placé au sommet de la pile,
si la pile n’est pas vide. Produit une erreur sinon.
"""
assert not self.est_vide()
return self.contenu.pop()
```
On souhaite programmer une fonction `bon_parenthesage` qui prend en paramètre une chaîne de caractères `ch` formée de
parenthèses et renvoie `True` si la chaîne est bien parenthésée et `False` sinon.
Cette fonction utilise une pile et suit le principe suivant : en parcourant la chaîne de gauche à
droite, si on trouve une parenthèse ouvrante, on l’empile au sommet de la pile et si on trouve
une parenthèse fermante, on dépile (si possible) la parenthèse ouvrante stockée au sommet
de la pile.
La chaîne est alors bien parenthésée si, à la fin du parcours, la pile est vide.
Elle est, par contre, mal parenthésée :
- si dans le parcours, on trouve une parenthèse fermante, alors que la pile est vide ;
- ou si, à la fin du parcours, la pile n’est pas vide.
Compléter le code de la fonction `bon_parenthesage` ci-dessous:
```python linenums='1'
def bon_parenthesage(ch):
"""Renvoie un booléen indiquant si la chaîne ch
est bien parenthésée"""
p = Pile()
for c in ch:
if c == ...:
p.empiler(c)
elif c == ...:
if p.est_vide():
...
else:
...
return ...
```
Exemples :
```python
>>> bon_parenthesage("((()())(()))")
True
>>> bon_parenthesage("())(()")
False
>>> bon_parenthesage("(())(()")
False
```
10_1
Écrire une fonction recherche qui prend en paramètres un tableau tab de nombres
entiers triés par ordre croissant et un nombre entier n, et qui effectue une recherche
dichotomique du nombre entier n dans le tableau non vide tab.
Cette fonction doit renvoyer un indice correspondant au nombre cherché s’il est dans le
tableau, None sinon.
Exemples :
>>> recherche([2, 3, 4, 5, 6], 5)
3
>>> recherche([2, 3, 4, 6, 7], 5) # renvoie None
1 2 3 4 5 6 7 8 9 10 11 12 | |
Écrire une fonction `recherche` qui prend en paramètres un tableau `tab` de nombres
entiers triés par ordre croissant et un nombre entier `n`, et qui effectue une recherche
dichotomique du nombre entier `n` dans le tableau non vide `tab`.
Cette fonction doit renvoyer un indice correspondant au nombre cherché s’il est dans le
tableau, `None` sinon.
Exemples :
```python
>>> recherche([2, 3, 4, 5, 6], 5)
3
>>> recherche([2, 3, 4, 6, 7], 5) # renvoie None
```
10_2
Le codage de César transforme un message en changeant chaque lettre en la décalant dans l’alphabet. Par exemple, avec un décalage de 3, le A se transforme en D, le B en E, ..., le X en A, le Y en B et le Z en C. Les autres caractères (‘!’,’ ?’ ...) ne sont pas codés.
La fonction position_alphabet ci-dessous prend en paramètre un caractère lettre
et renvoie la position de lettre dans la chaîne de caractères alphabet s’il s’y trouve.
La fonction cesar prend en paramètres une chaîne de caractères message et un nombre
entier decalage et renvoie le nouveau message codé avec le codage de César utilisant
le décalage decalage.
1 2 3 4 5 6 7 8 9 10 11 12 13 14 15 16 17 | |
Compléter la fonction cesar.
Exemples :
>>> cesar('BONJOUR A TOUS. VIVE LA MATIERE NSI !', 4)
'FSRNSYV E XSYW. ZMZI PE QEXMIVI RWM !'
>>> cesar('GTSOTZW F YTZX. ANAJ QF RFYNJWJ SXN !', -5)
'BONJOUR A TOUS. VIVE LA MATIERE NSI !'
1 2 3 4 5 6 7 8 9 10 11 12 13 14 15 16 17 | |
Le codage de César transforme un message en changeant chaque lettre en la décalant
dans l’alphabet.
Par exemple, avec un décalage de 3, le A se transforme en D, le B en E, ..., le X en A,
le Y en B et le Z en C. Les autres caractères (‘!’,’ ?’ ...) ne sont pas codés.
La fonction `position_alphabet` ci-dessous prend en paramètre un caractère `lettre`
et renvoie la position de `lettre` dans la chaîne de caractères `alphabet` s’il s’y trouve.
La fonction `cesar` prend en paramètres une chaîne de caractères `message` et un nombre
entier `decalage` et renvoie le nouveau message codé avec le codage de César utilisant
le décalage `decalage`.
```python linenums='1'
alphabet = 'ABCDEFGHIJKLMNOPQRSTUVWXYZ'
def position_alphabet(lettre):
'''Renvoie la position de la lettre dans l'alphabet'''
return ord(lettre) - ord('A')
def cesar(message, decalage):
'''Renvoie le message codé par la méthode de César
pour le decalage donné'''
resultat = ''
for ... in message:
if 'A' <= c and c <= 'Z':
indice = (...) % 26
resultat = resultat + alphabet[indice]
else:
resultat = ...
return resultat
```
Compléter la fonction ```cesar```.
Exemples :
```python
>>> cesar('BONJOUR A TOUS. VIVE LA MATIERE NSI !', 4)
'FSRNSYV E XSYW. ZMZI PE QEXMIVI RWM !'
>>> cesar('GTSOTZW F YTZX. ANAJ QF RFYNJWJ SXN !', -5)
'BONJOUR A TOUS. VIVE LA MATIERE NSI !'
```
13_1
Écrire une fonction recherche qui prend en paramètres elt un nombre entier et tab
un tableau de nombres entiers (type list), et qui renvoie l’indice de la première occurrence de elt dans tab si elt est dans tab et None sinon.
L’objectif de cet exercice est de parcourir un tableau, il est interdit d’utiliser la méthode
index des listes Python.
Exemples :
>>> recherche(1, [2, 3, 4]) # renvoie None
>>> recherche(1, [10, 12, 1, 56])
2
>>> recherche(50, [1, 50, 1])
1
>>> recherche(15, [8, 9, 10, 15])
3
1 2 3 4 5 | |
Écrire une fonction `recherche` qui prend en paramètres `elt` un nombre entier et `tab`
un tableau de nombres entiers (type `list`), et qui renvoie l’indice de la première occurrence de `elt` dans `tab` si `elt` est dans `tab` et `None` sinon.
L’objectif de cet exercice est de parcourir un tableau, il est interdit d’utiliser la méthode
`index` des listes Python.
Exemples :
```python
>>> recherche(1, [2, 3, 4]) # renvoie None
>>> recherche(1, [10, 12, 1, 56])
2
>>> recherche(50, [1, 50, 1])
1
>>> recherche(15, [8, 9, 10, 15])
3
```
13_2
On considère la fonction insere ci-dessous qui prend en argument un tableau tab d’entiers triés par ordre croissant et un entier a.
Cette fonction crée et renvoie un nouveau tableau à partir de celui fourni en paramètre en y
insérant la valeur a de sorte que le tableau renvoyé soit encore trié par ordre croissant. Les
tableaux seront représentés sous la forme de listes Python.
1 2 3 4 5 6 7 8 9 10 11 12 13 14 | |
Compléter la fonction insere ci-dessus.
Exemples :
>>> insere([1, 2, 4, 5], 3)
[1, 2, 3, 4, 5]
>>> insere([1, 2, 7, 12, 14, 25], 30)
[1, 2, 7, 12, 14, 25, 30]
>>> insere([2, 3, 4], 1)
[1, 2, 3, 4]
>>> insere([], 1)
[1]
1 2 3 4 5 6 7 8 9 10 11 12 13 14 | |
On considère la fonction `insere` ci-dessous qui prend en argument un tableau `tab` d’entiers triés par ordre croissant et un entier `a`.
Cette fonction crée et renvoie un nouveau tableau à partir de celui fourni en paramètre en y
insérant la valeur `a` de sorte que le tableau renvoyé soit encore trié par ordre croissant. Les
tableaux seront représentés sous la forme de listes Python.
```python linenums='1'
def insere(tab, a):
"""
Insère l'élément a (int) dans le tableau tab (list)
trié par ordre croissant à sa place et renvoie le
nouveau tableau.
"""
tab_a = [ a ] + tab # nouveau tableau contenant a
# suivi des éléments de tab
i = 0
while i < ... and a > ...:
tab_a[i] = ...
tab_a[i+1] = a
i = ...
return tab_a
```
Compléter la fonction ```insere``` ci-dessus.
Exemples :
```python
>>> insere([1, 2, 4, 5], 3)
[1, 2, 3, 4, 5]
>>> insere([1, 2, 7, 12, 14, 25], 30)
[1, 2, 7, 12, 14, 25, 30]
>>> insere([2, 3, 4], 1)
[1, 2, 3, 4]
>>> insere([], 1)
[1]
```
14_1
Dans cet exercice les tableaux sont représentés par des listes Python (type list).
Écrire en python deux fonctions :
lancerde paramètren, un entier positif, qui renvoie un tableau denentiers obtenus aléatoirement entre 1 et 6 (1 et 6 inclus) ;paire_6de paramètretab, un tableau de n entiers compris entre 1 et 6 et qui renvoie un booléen égal àTruesi le nombre de 6 est supérieur ou égal à 2,Falsesinon.
On pourra utiliser la fonction randint(a,b) du module random pour laquelle la
documentation officielle est la suivante :
random.randint(a, b)
Renvoie un entier aléatoire N tel que a <=N <= b.
Exemples :
>>> lancer1 = lancer(5)
>>> lancer1
[5, 6, 6, 2, 2]
>>> paire_6(lancer1)
True
>>> lancer2 = lancer(5)
>>> lancer2
[6, 5, 1, 6, 6]
>>> paire_6(lancer2)
True
>>> lancer3 = lancer(3)
>>> lancer3
[2, 2, 6]
>>> paire_6(lancer3)
False
>>> lancer4 = lancer(0)
>>> lancer4
[]
>>> paire_6(lancer4)
False
1 2 3 4 5 6 7 8 9 10 11 12 13 14 | |
Dans cet exercice les tableaux sont représentés par des listes Python (type `list`).
Écrire en python deux fonctions :
- `lancer` de paramètre `n`, un entier positif, qui renvoie un tableau de `n` entiers obtenus
aléatoirement entre 1 et 6 (1 et 6 inclus) ;
- `paire_6` de paramètre `tab`, un tableau de n entiers compris entre 1 et 6 et qui
renvoie un booléen égal à `True` si le nombre de 6 est supérieur ou égal à 2, `False`
sinon.
On pourra utiliser la fonction `randint(a,b)` du module `random` pour laquelle la
documentation officielle est la suivante :
`random.randint(a, b)`
` Renvoie un entier aléatoire N tel que a <=N <= b.`
Exemples :
```python
>>> lancer1 = lancer(5)
>>> lancer1
[5, 6, 6, 2, 2]
>>> paire_6(lancer1)
True
>>> lancer2 = lancer(5)
>>> lancer2
[6, 5, 1, 6, 6]
>>> paire_6(lancer2)
True
>>> lancer3 = lancer(3)
>>> lancer3
[2, 2, 6]
>>> paire_6(lancer3)
False
>>> lancer4 = lancer(0)
>>> lancer4
[]
>>> paire_6(lancer4)
False
```
14_2
On considère une image en 256 niveaux de gris que l’on représente par une grille de nombres, c’est-à-dire une liste composée de sous-listes toutes de longueurs identiques.
La largeur de l’image est donc la longueur d’une sous-liste et la hauteur de l’image est le nombre de sous-listes.
Chaque sous-liste représente une ligne de l’image et chaque élément des sous-listes est un entier compris entre 0 et 255, représentant l’intensité lumineuse du pixel.
Le négatif d’une image est l’image constituée des pixels x_n tels que
x_n + x_i = 255 où x_i est le pixel correspondant de l’image initiale.
Étant donné une valeur seuil, la binarisation d'une image est l'image constituée des pixels x_b valant 0 si x_i < seuil et 255 sinon, où x_i est le pixel correspondant de l'image initiale.
Compléter le programme suivant :
1 2 3 4 5 6 7 8 9 10 11 12 13 14 15 16 17 18 19 20 21 22 23 24 25 26 27 28 29 30 31 32 33 34 35 | |
Exemples :
>>> img=[[20, 34, 254, 145, 6], [23, 124, 237, 225, 69],
[197, 174, 207, 25, 87], [255, 0, 24, 197, 189]]
>>> nombre_lignes(img)
4
>>> nombre_colonnes(img)
5
>>> negatif(img)
[[235, 221, 1, 110, 249], [232, 131, 18, 30, 186],
[58, 81, 48, 230, 168], [0, 255, 231, 58, 66]]
>>> binaire(img,120)
[[0, 0, 255, 255, 0],[0, 255, 255, 255, 0],
[255, 255, 255, 0, 0],[255, 0, 0, 255, 255]]
1 2 3 4 5 6 7 8 9 10 11 12 13 14 15 16 17 18 19 20 21 22 23 24 25 26 27 28 29 30 31 32 33 34 35 | |
On considère une image en 256 niveaux de gris que l’on représente par une grille de
nombres, c’est-à-dire une liste composée de sous-listes toutes de longueurs identiques.
La largeur de l’image est donc la longueur d’une sous-liste et la hauteur de l’image est le
nombre de sous-listes.
Chaque sous-liste représente une ligne de l’image et chaque élément des sous-listes est
un entier compris entre 0 et 255, représentant l’intensité lumineuse du pixel.
Le négatif d’une image est l’image constituée des pixels `x_n` tels que
`x_n + x_i = 255` où `x_i` est le pixel correspondant de l’image initiale.
Étant donné une valeur `seuil`, la binarisation d'une image est l'image constituée des pixels `x_b` valant `0` si `x_i < seuil` et `255` sinon, où `x_i` est le pixel correspondant de l'image initiale.
Compléter le programme suivant :
```python linenums='1'
def nombre_lignes(image):
'''renvoie le nombre de lignes de l'image'''
return ...
def nombre_colonnes(image):
'''renvoie la largeur de l'image'''
return ...
def negatif(image):
'''renvoie le negatif de l'image sous la forme
d'une liste de listes'''
# on cree une image de 0 aux memes dimensions
# que le parametre image
nouvelle_image = [[0 for k in range(nombre_colonnes(image))]
for i in range(nombre_lignes(image))]
for i in range(nombre_lignes(image)):
for j in range(...):
nouvelle_image[i][j] = ...
return nouvelle_image
def binaire(image, seuil):
'''renvoie une image binarisee de l'image sous la forme
d'une liste de listes contenant des 0 si la valeur
du pixel est strictement inferieure au seuil et 255 sinon'''
nouvelle_image = [[0] * nombre_colonnes(image)
for i in range(nombre_lignes(image))]
for i in range(nombre_lignes(image)):
for j in range(...):
if image[i][j] < ... :
nouvelle_image[i][j] = ...
else:
nouvelle_image[i][j] = ...
return nouvelle_image
```
**Exemples :**
```python
>>> img=[[20, 34, 254, 145, 6], [23, 124, 237, 225, 69],
[197, 174, 207, 25, 87], [255, 0, 24, 197, 189]]
>>> nombre_lignes(img)
4
>>> nombre_colonnes(img)
5
>>> negatif(img)
[[235, 221, 1, 110, 249], [232, 131, 18, 30, 186],
[58, 81, 48, 230, 168], [0, 255, 231, 58, 66]]
>>> binaire(img,120)
[[0, 0, 255, 255, 0],[0, 255, 255, 255, 0],
[255, 255, 255, 0, 0],[255, 0, 0, 255, 255]]
```
18_1
Écrire une fonction moyenne qui prend en paramètre un tableau d’entiers non vide et qui
renvoie un nombre flottant donnant la moyenne de ces entiers.
Attention : il est interdit d’utiliser la fonction sum ou la fonction mean (module statistics) de Python.
Exemples :
>>> moyenne([1])
1.0
>>> moyenne([1, 2, 3, 4, 5, 6, 7])
4.0
>>> moyenne([1, 2])
1.5
1 2 3 4 5 | |
Écrire une fonction `moyenne` qui prend en paramètre un tableau d’entiers non vide et qui
renvoie un nombre flottant donnant la moyenne de ces entiers.
**Attention** : il est interdit d’utiliser la fonction `sum` ou la fonction `mean` (module `statistics`) de Python.
Exemples :
```python
>>> moyenne([1])
1.0
>>> moyenne([1, 2, 3, 4, 5, 6, 7])
4.0
>>> moyenne([1, 2])
1.5
```
18_2
Le but de l'exercice est de compléter une fonction qui détermine si une valeur est présente dans un tableau de valeurs triées dans l'ordre croissant.
Compléter l'algorithme de dichotomie donné ci-après.
1 2 3 4 5 6 7 8 9 10 11 12 13 14 15 16 | |
Exemples :
>>> dichotomie([15, 16, 18, 19, 23, 24, 28, 29, 31, 33], 28)
True
>>> dichotomie([15, 16, 18, 19, 23, 24, 28, 29, 31, 33], 27)
False
>>> dichotomie([15, 16, 18, 19, 23, 24, 28, 29, 31, 33], 1)
False
>>> dichotomie([], 28)
False
1 2 3 4 5 6 7 8 9 10 11 12 13 14 15 16 | |
Le but de l'exercice est de compléter une fonction qui détermine si une valeur est présente
dans un tableau de valeurs triées dans l'ordre croissant.
Compléter l'algorithme de dichotomie donné ci-après.
```python linenums='1'
def dichotomie(tab, x):
"""applique une recherche dichotomique pour déterminer
si x est dans le tableau trié tab.
La fonction renvoie True si tab contient x et False sinon"""
debut = 0
fin = ...
while debut <= fin:
m = ...
if x == tab[m]:
return ...
if x > tab[m]:
debut = ...
else:
fin = ...
return False
```
Exemples :
```python
>>> dichotomie([15, 16, 18, 19, 23, 24, 28, 29, 31, 33], 28)
True
>>> dichotomie([15, 16, 18, 19, 23, 24, 28, 29, 31, 33], 27)
False
>>> dichotomie([15, 16, 18, 19, 23, 24, 28, 29, 31, 33], 1)
False
>>> dichotomie([], 28)
False
```
19_1
Écrire une fonction recherche_min qui prend en paramètre un tableau de nombres tab non vide, et qui renvoie l'indice de la première occurrence du minimum de ce tableau. Les tableaux seront représentés sous forme de liste Python.
Exemples :
>>> recherche_min([5])
0
>>> recherche_min([2, 4, 1])
2
>>> recherche_min([5, 3, 2, 2, 4])
2
>>> recherche_min([-1, -2, -3, -3])
2
1 2 3 4 5 6 | |
Écrire une fonction `recherche_min` qui prend en paramètre un tableau de nombres `tab` non vide, et qui renvoie l'indice de la première occurrence du minimum de ce tableau. Les tableaux seront représentés sous forme de liste Python.
Exemples :
```python
>>> recherche_min([5])
0
>>> recherche_min([2, 4, 1])
2
>>> recherche_min([5, 3, 2, 2, 4])
2
>>> recherche_min([-1, -2, -3, -3])
2
```
19_2
On considère la fonction separe ci-dessous qui prend en argument un tableau tab dont
les éléments sont des 0 et des 1 et qui sépare les 0 des 1 en plaçant les 0 en début de
tableau et les 1 à la suite.
1 2 3 4 5 6 7 8 9 10 11 12 | |
Compléter la fonction separe ci-dessus.
Exemples :
>>> separe([1, 0, 1, 0, 1, 0, 1, 0])
[0, 0, 0, 0, 1, 1, 1, 1]
>>> separe([1, 0, 0, 0, 1, 1, 0, 1, 1, 0, 1, 0, 1, 1, 1, 0])
[0, 0, 0, 0, 0, 0, 0, 1, 1, 1, 1, 1, 1, 1, 1, 1]
Description d’étapes effectuées par la fonction separe sur le tableau ci-dessous, les caractères ^ indiquent les cases pointées par les indices gauche et droite :
tab = [1, 0, 1, 0, 1, 0, 1, 0]
^ ^
-
Etape 1 : on regarde la première case, qui contient un 1 : ce 1 va aller dans la seconde partie du tableau final et on l’échange avec la dernière case. Il est à présent bien positionné : on ne prend plus la dernière case en compte.
tab = [0, 0, 1, 0, 1, 0, 1, 1] ^ ^ -
Etape 2 : on regarde à nouveau la première case, qui contient maintenant un 0 : ce 0 va aller dans la première partie du tableau final et est bien positionné : on ne prend plus la première case en compte.
tab = [0, 0, 1, 0, 1, 0, 1, 1] ^ ^ -
Etape 3 : on regarde la seconde case, qui contient un 0 : ce 0 va aller dans la première partie du tableau final et est bien positionné : on ne prend plus la seconde case en compte.
tab = [0, 0, 1, 0, 1, 0, 1, 1] ^ ^ -
Etape 4 : on regarde la troisième case, qui contient un 1 : ce 1 va aller dans la seconde partie du tableau final et on l’échange avec l’avant-dernière case. Il est à présent bien positionné : on ne prend plus l’avant-dernière case en compte.
tab = [0, 0, 1, 0, 1, 0, 1, 1] ^ ^
Et ainsi de suite...
tab = [0, 0, 0, 0, 1, 1, 1, 1]
1 2 3 4 5 6 7 8 9 10 11 12 | |
On considère la fonction `separe` ci-dessous qui prend en argument un tableau `tab` dont
les éléments sont des `0` et des `1` et qui sépare les `0` des `1` en plaçant les `0` en début de
tableau et les `1` à la suite.
```python linenums='1'
def separe(tab):
'''Separe les 0 et les 1 dans le tableau tab'''
gauche = 0
droite = ...
while gauche < droite:
if tab[gauche] == 0 :
gauche = ...
else :
tab[gauche] = ...
tab[droite] = ...
droite = ...
return tab
```
Compléter la fonction `separe` ci-dessus.
Exemples :
```python
>>> separe([1, 0, 1, 0, 1, 0, 1, 0])
[0, 0, 0, 0, 1, 1, 1, 1]
>>> separe([1, 0, 0, 0, 1, 1, 0, 1, 1, 0, 1, 0, 1, 1, 1, 0])
[0, 0, 0, 0, 0, 0, 0, 1, 1, 1, 1, 1, 1, 1, 1, 1]
```
Description d’étapes effectuées par la fonction separe sur le tableau ci-dessous, les caractères `^` indiquent les cases pointées par les indices gauche et droite :
```python
tab = [1, 0, 1, 0, 1, 0, 1, 0]
^ ^
```
- **Etape 1 :** on regarde la première case, qui contient un 1 : ce 1 va aller dans la seconde partie du tableau final et on l’échange avec la dernière case.
Il est à présent bien positionné : on ne prend plus la dernière case en compte.
```python
tab = [0, 0, 1, 0, 1, 0, 1, 1]
^ ^
```
- **Etape 2 :** on regarde à nouveau la première case, qui contient maintenant un 0 : ce 0 va aller dans la première partie du tableau final et est bien positionné : on ne prend plus la première case en compte.
```python
tab = [0, 0, 1, 0, 1, 0, 1, 1]
^ ^
```
- **Etape 3 :** on regarde la seconde case, qui contient un 0 : ce 0 va aller dans la première partie du tableau final et est bien positionné : on ne prend plus la seconde case en compte.
```python
tab = [0, 0, 1, 0, 1, 0, 1, 1]
^ ^
```
- **Etape 4 :** on regarde la troisième case, qui contient un 1 : ce 1 va aller dans la seconde partie du tableau final et on l’échange avec l’avant-dernière case.
Il est à présent bien positionné : on ne prend plus l’avant-dernière case en compte.
```python
tab = [0, 0, 1, 0, 1, 0, 1, 1]
^ ^
```
Et ainsi de suite...
`tab = [0, 0, 0, 0, 1, 1, 1, 1]`
20_1
Écrire une fonction min_et_max qui prend en paramètre un tableau de nombres tab non vide, et qui renvoie la plus petite et la plus grande valeur du tableau sous la
forme d’un dictionnaire à deux clés min et max.
Les tableaux seront représentés sous forme de liste Python.
L’utilisation des fonctions natives min, max et sorted, ainsi que la méthode sort n’est pas
autorisée.
Exemples :
>>> min_et_max([0, 1, 4, 2, -2, 9, 3, 1, 7, 1])
{'min': -2, 'max': 9}
>>> min_et_max([0, 1, 2, 3])
{'min': 0, 'max': 3}
>>> min_et_max([3])
{'min': 3, 'max': 3}
>>> min_et_max([1, 3, 2, 1, 3])
{'min': 1, 'max': 3}
>>> min_et_max([-1, -1, -1, -1, -1])
{'min': -1, 'max': -1}
1 2 3 4 5 6 7 8 9 10 | |
Écrire une fonction `min_et_max` qui prend en paramètre un tableau de nombres `tab` non vide, et qui renvoie la plus petite et la plus grande valeur du tableau sous la
forme d’un dictionnaire à deux clés `min` et `max`.
Les tableaux seront représentés sous forme de liste Python.
L’utilisation des fonctions natives `min`, `max` et `sorted`, ainsi que la méthode `sort` n’est pas
autorisée.
Exemples :
```python
>>> min_et_max([0, 1, 4, 2, -2, 9, 3, 1, 7, 1])
{'min': -2, 'max': 9}
>>> min_et_max([0, 1, 2, 3])
{'min': 0, 'max': 3}
>>> min_et_max([3])
{'min': 3, 'max': 3}
>>> min_et_max([1, 3, 2, 1, 3])
{'min': 1, 'max': 3}
>>> min_et_max([-1, -1, -1, -1, -1])
{'min': -1, 'max': -1}
```
20_2
On dispose d’une classe Carte permettant de créer des objets modélisant des cartes à
jouer.
Compléter la classe Paquet_de_cartes suivante en respectant les spécifications
données dans les chaînes de documentation.
Ajouter une assertion dans la méthode recuperer_carte de la classe Paquet_de_cartes afin de vérifier que le paramètre pos est correct.
On rappelle que l’instruction
assert condition, message
permet de vérifier que la condition est vraie. Si ce n’est pas le cas, le programme s’arrête et affiche le message d’erreur fourni.
1 2 3 4 5 6 7 8 9 10 11 12 13 14 15 16 17 18 19 20 21 22 23 24 25 26 27 28 29 30 | |
Exemple :
>>> jeu = Paquet_de_cartes()
>>> carte1 = jeu.recuperer_carte(20)
>>> carte1.recuperer_valeur() + " de " + carte1.recuperer_couleur()
"8 de coeur"
>>> carte2 = jeu.recuperer_carte(0)
>>> carte2.recuperer_valeur() + " de " + carte2.recuperer_couleur()
"As de pique"
>>> carte3 = jeu.recuperer_carte(52)
AssertionError : paramètre pos invalide
1 2 3 4 5 6 7 8 9 10 11 12 13 14 15 16 17 18 19 20 21 22 23 24 25 26 27 28 29 30 31 32 33 34 35 | |
On dispose d’une classe `Carte` permettant de créer des objets modélisant des cartes à
jouer.
Compléter la classe `Paquet_de_cartes` suivante en respectant les spécifications
données dans les chaînes de documentation.
Ajouter une assertion dans la méthode `recuperer_carte` de la classe `Paquet_de_cartes` afin de vérifier que le paramètre `pos` est correct.
On rappelle que l’instruction
```python
assert condition, message
```
permet de vérifier que la condition est vraie. Si ce n’est pas le cas, le programme s’arrête et
affiche le message d’erreur fourni.
```python linenums='1'
class Carte:
def __init__(self, c, v):
""" Initialise les attributs couleur (entre 1 et 4), et valeur (entre 1 et 13). """
self.couleur = c
self.valeur = v
def recuperer_valeur(self):
""" Renvoie la valeur de la carte : As, 2, ..., 10, Valet, Dame, Roi """
valeurs = ['As','2', '3', '4', '5', '6', '7', '8', '9', '10', 'Valet', 'Dame', 'Roi']
return valeurs[self.valeur - 1]
def recuperer_couleur(self):
""" Renvoie la couleur de la carte (parmi pique, coeur, carreau, trèfle). """
couleurs = ['pique', 'coeur', 'carreau', 'trèfle']
return couleurs[self.couleur - 1]
class Paquet_de_cartes:
def __init__(self):
""" Initialise l'attribut contenu avec une liste des 52 objets Carte possibles
rangés par valeurs croissantes en commençant par pique, puis coeur,
carreau et tréfle. """
...
...
...
...
def recuperer_carte(self, pos):
""" Renvoie la carte qui se trouve à la position pos (entier compris entre 0 et 51). """
...
...
```
Exemple :
```python
>>> jeu = Paquet_de_cartes()
>>> carte1 = jeu.recuperer_carte(20)
>>> carte1.recuperer_valeur() + " de " + carte1.recuperer_couleur()
"8 de coeur"
>>> carte2 = jeu.recuperer_carte(0)
>>> carte2.recuperer_valeur() + " de " + carte2.recuperer_couleur()
"As de pique"
>>> carte3 = jeu.recuperer_carte(52)
AssertionError : paramètre pos invalide
```
21_1
Écrire une fonction indices_maxi qui prend en paramètre un tableau non vide de nombre
entiers tab, représenté par une liste Python et qui renvoie un tuple (maxi, indices)
où :
maxiest le plus grand élément du tableautab;indicesest une liste Python contenant les indices du tableautaboù apparaît ce plus grand élément.
Exemple :
>>> indices_maxi([1, 5, 6, 9, 1, 2, 3, 7, 9, 8])
(9, [3, 8])
>>> indices_maxi([7])
(7, [0])
1 2 3 4 5 6 7 8 9 10 | |
Écrire une fonction `indices_maxi` qui prend en paramètre un tableau non vide de nombre
entiers `tab`, représenté par une liste Python et qui renvoie un tuple (`maxi`, `indices`)
où :
- `maxi` est le plus grand élément du tableau `tab` ;
- `indices` est une liste Python contenant les indices du tableau `tab` où apparaît ce
plus grand élément.
Exemple :
```python
>>> indices_maxi([1, 5, 6, 9, 1, 2, 3, 7, 9, 8])
(9, [3, 8])
>>> indices_maxi([7])
(7, [0])
```
21_2
Cet exercice utilise des piles qui seront représentées par des listes Python.
Si pile est une pile, alors pile == [] indique si la pile est vide, pile.pop() retire
et renvoie le sommet de la pile et pile.append(v) ajoute la valeur v au sommet de la
pile.
Si on considère qu’une fonction manipule une pile, elle ne peut pas utiliser d’autres opéra- tions que celles décrites ci-dessus.
On cherche à écrire une fonction positifs qui prend une pile de nombres entiers en
paramètre et qui renvoie une nouvelle pile contenant les entiers positifs de la pile initiale,
dans le même ordre, quitte à modifier la pile initiale.
Pour cela, on va également écrire une fonction renverse qui prend une pile en paramètre
et qui renvoie une nouvelle pile contenant les mêmes éléments que la pile initiale, mais
dans l’ordre inverse. Cette fonction sera également amenée à modifier la pile passée en
paramètre.
Compléter le code Python des fonctions renverse et positifs ci-après
1 2 3 4 5 6 7 8 9 10 11 12 13 14 15 16 17 18 19 | |
Exemple :
>>> renverse([1, 2, 3, 4, 5])
[5, 4, 3, 2, 1]
>>> positifs([-1, 0, 5, -3, 4, -6, 10, 9, -8])
[0, 5, 4, 10, 9]
>>> positifs([-2])
[]
1 2 3 4 5 6 7 8 9 10 11 12 13 14 15 16 17 18 19 | |
Cet exercice utilise des piles qui seront représentées par des listes Python.
Si `pile` est une pile, alors `pile == []` indique si la pile est vide, `pile.pop()` retire
et renvoie le sommet de la pile et `pile.append(v)` ajoute la valeur `v` au sommet de la
pile.
Si on considère qu’une fonction manipule une pile, elle ne peut pas utiliser d’autres opéra-
tions que celles décrites ci-dessus.
On cherche à écrire une fonction `positifs` qui prend une pile de nombres entiers en
paramètre et qui renvoie une nouvelle pile contenant les entiers positifs de la pile initiale,
dans le même ordre, quitte à modifier la pile initiale.
Pour cela, on va également écrire une fonction `renverse` qui prend une pile en paramètre
et qui renvoie une nouvelle pile contenant les mêmes éléments que la pile initiale, mais
dans l’ordre inverse. Cette fonction sera également amenée à modifier la pile passée en
paramètre.
Compléter le code Python des fonctions `renverse` et `positifs` ci-après
```python linenums='1'
def renverse(pile):
'''renvoie une pile contenant les mêmes éléments que pile,
mais dans l'ordre inverse.
Cette fonction détruit pile.'''
pile_inverse = ...
while pile != []:
... .append(...)
return ...
def positifs(pile):
'''renvoie une pile contenant les éléments positifs de pile,
dans le même ordre. Cette fonction détruit pile.'''
pile_positifs = ...
while pile != []:
... = pile.pop()
if ... >= 0:
...
return ...
```
Exemple :
```python
>>> renverse([1, 2, 3, 4, 5])
[5, 4, 3, 2, 1]
>>> positifs([-1, 0, 5, -3, 4, -6, 10, 9, -8])
[0, 5, 4, 10, 9]
>>> positifs([-2])
[]
```
22_1
Écrire une fonction recherche qui prend en paramètres elt un nombre entier et tab
un tableau de nombres entiers (type list ), et qui renvoie l’indice de la dernière occurrence de elt dans tab si elt est dans tab et None sinon.
Exemples :
>>> recherche(1, [2, 3, 4]) # renvoie None
>>> recherche(1, [10, 12, 1, 56])
2
>>> recherche(1, [1, 0, 42, 7])
0
>>> recherche(1, [1, 50, 1])
2
>>> recherche(1, [8, 1, 10, 1, 7, 1, 8])
5
1 2 3 4 5 | |
Écrire une fonction `recherche` qui prend en paramètres `elt` un nombre entier et `tab`
un tableau de nombres entiers (type ```list``` ), et qui renvoie l’indice de la dernière occurrence de `elt` dans `tab` si `elt` est dans `tab` et `None` sinon.
Exemples :
```python
>>> recherche(1, [2, 3, 4]) # renvoie None
>>> recherche(1, [10, 12, 1, 56])
2
>>> recherche(1, [1, 0, 42, 7])
0
>>> recherche(1, [1, 50, 1])
2
>>> recherche(1, [8, 1, 10, 1, 7, 1, 8])
5
```
22_2
On définit une classe gérant une adresse IPv4.
On rappelle qu’une adresse IPv4 est une adresse de longueur 4 octets, notée en décimale
à point, en séparant chacun des octets par un point. On considère un réseau privé avec
une plage d’adresses IP de 192.168.0.0 à 192.168.0.255.
On considère que les adresses IP saisies sont valides.
Les adresses IP 192.168.0.0 et 192.168.0.255 sont des adresses réservées.
Le code ci-dessous implémente la classe AdresseIP.
1 2 3 4 5 6 7 8 9 10 11 12 13 14 15 16 17 18 19 20 21 22 23 24 25 | |
adresse1, adresse2,
adresse3 avec respectivement les arguments suivants :
'192.168.0.1', '192.168.0.2', '192.168.0.0'
Vérifier que :
>>> adresse1.liste_octets()
[192, 168, 0, 1]
>>> adresse1.est_reservee()
False
>>> adresse3.est_reservee()
True
>>> adresse2.adresse_suivante().adresse # acces valide à adresse
# ici car on sait que l'adresse suivante existe
'192.168.0.3'
1 2 3 4 5 6 7 8 9 10 11 12 13 14 15 16 17 18 19 20 21 22 23 24 25 26 27 28 29 30 31 | |
On définit une classe gérant une adresse IPv4.
On rappelle qu’une adresse IPv4 est une adresse de longueur 4 octets, notée en décimale
à point, en séparant chacun des octets par un point. On considère un réseau privé avec
une plage d’adresses IP de `192.168.0.0` à `192.168.0.255`.
On considère que les adresses IP saisies sont valides.
Les adresses IP `192.168.0.0` et `192.168.0.255` sont des adresses réservées.
Le code ci-dessous implémente la classe `AdresseIP`.
```python linenums='1'
class AdresseIP:
def __init__(self, adresse):
self.adresse = ...
def liste_octets(self):
"""renvoie une liste de nombres entiers,
la liste des octets de l'adresse IP"""
# Note : split découpe la chaine de caractères
# en fonction du séparateur
return [int(i) for i in self.adresse.split(".")]
def est_reservee(self):
"""renvoie True si l'adresse IP est une adresse
réservée, False sinon"""
reservees = [ ... ]
return ...
def adresse_suivante(self):
"""renvoie un objet de AdresseIP avec l'adresse
IP qui suit l'adresse self si elle existe et None sinon"""
octets = ...
if ... == 254:
return None
octet_nouveau = ... + ...
return AdresseIP('192.168.0.' + ...)
```
Compléter le code ci-dessus et instancier trois objets : `adresse1`, `adresse2`,
`adresse3` avec respectivement les arguments suivants :
`'192.168.0.1'`, `'192.168.0.2'`, `'192.168.0.0'`
Vérifier que :
```python
>>> adresse1.liste_octets()
[192, 168, 0, 1]
>>> adresse1.est_reservee()
False
>>> adresse3.est_reservee()
True
>>> adresse2.adresse_suivante().adresse # acces valide à adresse
# ici car on sait que l'adresse suivante existe
'192.168.0.3'
```
23_1
On veut trier par ordre croissant les notes d’une évaluation qui sont des nombres entiers compris entre 0 et 10 (inclus).
Ces notes sont contenues dans un tableau notes_eval (type list)
Écrire une fonction effectif_notes prenant en paramètre le tableau notes_eval et
renvoyant un tableau de longueur 11 tel que la valeur d’indice i soit le nombre de notes
valant i dans le tableau notes_eval.
Écrire ensuite une fonction notes_triees prenant en paramètre le tableau des effectifs
des notes et renvoyant un tableau contenant les mêmes valeurs que notes_eval mais
triées dans l’ordre croissant.
Exemple :
>>> notes_eval = [2, 0, 5, 9, 6, 9, 10, 5, 7, 9, 9, 5, 0, 9, 6, 5, 4]
>>> eff = effectif_notes(notes_eval)
>>> eff
[2, 0, 1, 0, 1, 4, 2, 1, 0, 5, 1]
>>> notes_triees(eff)
[0, 0, 2, 4, 5, 5, 5, 5, 6, 6, 7, 9, 9, 9, 9, 9, 10]
1 2 3 4 5 6 7 8 9 10 11 12 13 | |
- On peut ne pas effectuer ce test, car si
eff[i]vaut 0, on ne rentrera pas dans la bouclefor _ in range(0)et donc on ne touchera pas à la listetriees.
On veut trier par ordre croissant les notes d’une évaluation qui sont des nombres entiers
compris entre 0 et 10 (inclus).
Ces notes sont contenues dans un tableau `notes_eval` (type `list`)
Écrire une fonction `effectif_notes` prenant en paramètre le tableau `notes_eval` et
renvoyant un tableau de longueur 11 tel que la valeur d’indice `i` soit le nombre de notes
valant `i` dans le tableau `notes_eval`.
Écrire ensuite une fonction `notes_triees` prenant en paramètre le tableau des effectifs
des notes et renvoyant un tableau contenant les mêmes valeurs que `notes_eval` mais
triées dans l’ordre croissant.
Exemple :
```python
>>> notes_eval = [2, 0, 5, 9, 6, 9, 10, 5, 7, 9, 9, 5, 0, 9, 6, 5, 4]
>>> eff = effectif_notes(notes_eval)
>>> eff
[2, 0, 1, 0, 1, 4, 2, 1, 0, 5, 1]
>>> notes_triees(eff)
[0, 0, 2, 4, 5, 5, 5, 5, 6, 6, 7, 9, 9, 9, 9, 9, 10]
```
23_2
L’objectif de cet exercice est d’écrire deux fonctions récursives dec_to_bin et
bin_to_dec assurant respectivement la conversion de l’écriture décimale d’un nombre
entier vers son écriture en binaire et, réciproquement, la conversion de l’écriture en
binaire d’un nombre vers son écriture décimale.
Dans cet exercice, on s’interdit l’usage des fonctions Python bin et int.
L'exemple suivant montre comment obtenir l’écriture en binaire du nombre 25 :
\(25 = 2 \times 12 + 1\)
\(\phantom{25} = 2 \times (2 \times 6 + 0) + 1\)
\(\phantom{25} = 2 \times (2 \times (2 \times 3 + 0) + 0) + 1\)
\(\phantom{25} = 2 \times (2 \times (2 \times (2 \times 1+1) + 0) + 0) + 1\)
\(\phantom{25} = 2 \times (2 \times (2 \times (2 \times (2 \times 0 + 1)+1) + 0) + 0) + 1\)
\(\phantom{25} = 1 \times 2^4 + 1 \times 2^3 + 0 \times 2^2 + 0 \times 2^1 + 1 \times 2^0\)
\(\phantom{25} = \overline{11001}_2\)
L'écriture binaire de 25 est donc 11001.
0n rappelle également que :
a // 2renvoie le quotient de la division euclidienne deapar 2.a % 2renvoie le reste dans la division euclidienne deapar 2.
On indique enfin qu’en Python si mot = "informatique" alors :
mot[-1]renvoie'e', c’est-à-dire le dernier caractère de la chaîne de caractèresmot.mot[:-1]renvoie'informatiqu', c’est-à-dire l’ensemble de la chaîne de caractèresmotprivée de son dernier caractère.
Compléter, puis tester, les codes de deux fonctions ci-dessous.
On précise que la fonction récursive dec_to_bin prend en paramètre un nombre entier
et renvoie une chaîne de caractères contenant l’écriture en binaire du nombre passé en
paramètre.
Exemple :
>>> dec_to_bin(25)
'11001'
La fonction récursive bin_to_dec prend en paramètre une chaîne de caractères
représentant l’écriture d’un nombre en binaire et renvoie l’écriture décimale de ce
nombre.
>>> bin_to_dec('101010')
42
1 2 3 4 5 6 7 8 9 10 11 12 13 14 15 16 17 18 19 | |
1 2 3 4 5 6 7 8 9 10 11 12 13 14 15 16 17 18 19 | |
L’objectif de cet exercice est d’écrire deux fonctions récursives `dec_to_bin` et
`bin_to_dec` assurant respectivement la conversion de l’écriture décimale d’un nombre
entier vers son écriture en binaire et, réciproquement, la conversion de l’écriture en
binaire d’un nombre vers son écriture décimale.
Dans cet exercice, on s’interdit l’usage des fonctions Python `bin` et `int`.
L'exemple suivant montre comment obtenir l’écriture en binaire du
nombre 25 :
$25 = 2 \times 12 + 1$
$\phantom{25} = 2 \times (2 \times 6 + 0) + 1$
$\phantom{25} = 2 \times (2 \times (2 \times 3 + 0) + 0) + 1$
$\phantom{25} = 2 \times (2 \times (2 \times (2 \times 1+1) + 0) + 0) + 1$
$\phantom{25} = 2 \times (2 \times (2 \times (2 \times (2 \times 0 + 1)+1) + 0) + 0) + 1$
$\phantom{25} = 1 \times 2^4 + 1 \times 2^3 + 0 \times 2^2 + 0 \times 2^1 + 1 \times 2^0$
$\phantom{25} = \overline{11001}_2$
L'écriture binaire de 25 est donc ```11001```.
0n rappelle également que :
- `a // 2` renvoie le quotient de la division euclidienne de `a` par 2.
- ` a % 2` renvoie le reste dans la division euclidienne de `a` par 2.
On indique enfin qu’en Python si `mot = "informatique"` alors :
- `mot[-1]` renvoie `'e'`, c’est-à-dire le dernier caractère de la chaîne de caractères `mot`.
- `mot[:-1]` renvoie `'informatiqu'` , c’est-à-dire l’ensemble de la chaîne de
caractères `mot` privée de son dernier caractère.
Compléter, puis tester, les codes de deux fonctions ci-dessous.
On précise que la fonction récursive `dec_to_bin` prend en paramètre un nombre entier
et renvoie une chaîne de caractères contenant l’écriture en binaire du nombre passé en
paramètre.
Exemple :
```python
>>> dec_to_bin(25)
'11001'
```
La fonction récursive `bin_to_dec` prend en paramètre une chaîne de caractères
représentant l’écriture d’un nombre en binaire et renvoie l’écriture décimale de ce
nombre.
```python
>>> bin_to_dec('101010')
42
```
```python linenums='1'
def dec_to_bin(nb_dec):
q, r = nb_dec // 2, nb_dec % 2
if q == ...:
return ...
else:
return dec_to_bin(...) + ...
def bin_to_dec(nb_bin):
if len(nb_bin) == 1:
if ... == '0':
return 0
else:
return ...
else:
if nb_bin[-1] == '0':
bit_droit = 0
else:
...
return ... * bin_to_dec(nb_bin[:-1]) + ...
```
24_1
Écrire une fonction enumere qui prend en paramètre un tableau tab (type list) et renvoie
un dictionnaire d dont les clés sont les éléments de tab avec pour valeur associée la liste
des indices de l’élément dans le tableau tab.
Exemple :
>>> enumere([])
{}
>>> enumere([1, 2, 3])
{1: [0], 2: [1], 3: [2]}
>>> enumere([1, 1, 2, 3, 2, 1])
{1: [0, 1, 5], 2: [2, 4], 3: [3]}
1 2 3 4 5 6 7 8 | |
Écrire une fonction `enumere` qui prend en paramètre un tableau `tab` (type `list`) et renvoie
un dictionnaire `d` dont les clés sont les éléments de `tab` avec pour valeur associée la liste
des indices de l’élément dans le tableau `tab`.
Exemple :
```python
>>> enumere([])
{}
>>> enumere([1, 2, 3])
{1: [0], 2: [1], 3: [2]}
>>> enumere([1, 1, 2, 3, 2, 1])
{1: [0, 1, 5], 2: [2, 4], 3: [3]}
```
24_2
Un arbre binaire est soit vide, représenté en Python par la valeur None, soit un nœud,
contenant une étiquette et deux sous-arbres gauche et droit et représenté par une instance
de la classe Noeud donnée ci-dessous.
1 2 3 4 5 6 7 8 9 10 11 12 13 14 15 16 17 | |
La fonction récursive parcours renvoie la liste des étiquettes des nœuds de l’arbre implé-
menté par l’instance arbre dans l’ordre du parcours en profondeur infixe à partir d’une liste
vide passée en argument.
Compléter le code de la fonction insere, présenté page suivante, qui prend en argument
un arbre binaire de recherche arbre représenté ainsi et une étiquette cle, non présente
dans l’arbre, et qui :
- renvoie une nouvelle feuille d’étiquette
cles’il est vide ; - renvoie l’arbre après l’avoir modifié en insérant
clesinon ; - garantit que l’arbre ainsi complété soit encore un arbre binaire de recherche.
Tester ensuite ce code en utilisant la fonction parcours et en insérant successivement
des nœuds d’étiquette 1, 4, 6 et 8 dans l’arbre binaire de recherche représenté ci-
dessous :

1 2 3 4 5 6 7 8 9 10 11 12 | |
1 2 3 4 5 6 7 8 9 10 11 12 | |
Tests :
>>> a = Noeud(5, None, None)
>>> a = insere(a, 2)
>>> a = insere(a, 3)
>>> a = insere(a, 7)
>>> parcours(a, [])
[2, 3, 5, 7]
>>> a = insere(a, 1)
>>> a = insere(a, 4)
>>> a = insere(a, 6)
>>> a = insere(a, 8)
>>> parcours(a, [])
[1, 2, 3, 4, 5, 6, 7, 8]
Un arbre binaire est soit vide, représenté en Python par la valeur `None`, soit un nœud,
contenant une étiquette et deux sous-arbres gauche et droit et représenté par une instance
de la classe `Noeud` donnée ci-dessous.
```python linenums='1'
class Noeud:
"""Classe représentant un noeud d'un arbre binaire"""
def __init__(self, etiquette, gauche, droit):
"""Crée un noeud de valeur etiquette avec
gauche et droit comme fils."""
self.etiquette = etiquette
self.gauche = gauche
self.droit = droit
def parcours(arbre, liste):
"""parcours récursivement l'arbre en ajoutant les étiquettes
de ses noeuds à la liste passée en argument en ordre infixe."""
if arbre != None:
parcours(arbre.gauche, liste)
liste.append(arbre.etiquette)
parcours(arbre.droit, liste)
return liste
```
La fonction récursive `parcours` renvoie la liste des étiquettes des nœuds de l’arbre implé-
menté par l’instance `arbre` dans l’ordre du parcours en profondeur infixe à partir d’une liste
vide passée en argument.
Compléter le code de la fonction `insere`, présenté page suivante, qui prend en argument
un arbre binaire de recherche `arbre` représenté ainsi et une étiquette `cle`, non présente
dans l’arbre, et qui :
- renvoie une nouvelle feuille d’étiquette `cle` s’il est vide ;
- renvoie l’arbre après l’avoir modifié en insérant `cle` sinon ;
- garantit que l’arbre ainsi complété soit encore un arbre binaire de recherche.
Tester ensuite ce code en utilisant la fonction `parcours` et en insérant successivement
des nœuds d’étiquette 1, 4, 6 et 8 dans l’arbre binaire de recherche représenté ci-
dessous :
{: .center width=15%}
```python linenums='1'
def insere(arbre, cle):
"""insere la cle dans l'arbre binaire de recherche
représenté par arbre.
Retourne l'arbre modifié."""
if arbre == None:
return Noeud(cle, None, None) # creation d'une feuille
else:
if ...:
arbre.gauche = insere(arbre.gauche, cle)
else:
arbre.droit = ...
return arbre
```
25_1
On a relevé les valeurs moyennes annuelles des températures à Paris pour la période
allant de 2013 à 2019. Les résultats ont été récupérés sous la forme de deux tableaux (de type
list) : l’un pour les températures, l’autre pour les années :
t_moy = [14.9, 13.3, 13.1, 12.5, 13.0, 13.6, 13.7]
annees = [2013, 2014, 2015, 2016, 2017, 2018, 2019]
Écrire la fonction annee_temperature_minimale qui prend en paramètres ces deux
tableaux et qui renvoie la plus petite valeur relevée au cours de la période et l’année correspondante.
On suppose que la température minimale est atteinte une seule fois.
Exemple :
>>> annee_temperature_minimale(t_moy, annees)
(12.5, 2016)
1 2 3 4 5 6 7 8 9 10 11 | |
On a relevé les valeurs moyennes annuelles des températures à Paris pour la période
allant de 2013 à 2019. Les résultats ont été récupérés sous la forme de deux tableaux (de type
`list`) : l’un pour les températures, l’autre pour les années :
```python
t_moy = [14.9, 13.3, 13.1, 12.5, 13.0, 13.6, 13.7]
annees = [2013, 2014, 2015, 2016, 2017, 2018, 2019]
```
Écrire la fonction `annee_temperature_minimale` qui prend en paramètres ces deux
tableaux et qui renvoie la plus petite valeur relevée au cours de la période et l’année correspondante.
On suppose que la température minimale est atteinte une seule fois.
Exemple :
```python
>>> annee_temperature_minimale(t_moy, annees)
(12.5, 2016)
```
25_2
Un mot palindrome peut se lire de la même façon de gauche à droite ou de droite à gauche : kayak, radar, et non sont des mots palindromes.
De même certains nombres ont des écritures décimales qui sont des palindromes : 33, 121, 345543.
L’objectif de cet exercice est d’obtenir un programme Python permettant de tester si un nombre est un nombre palindrome.
Pour remplir cette tâche, on vous demande de compléter le code des trois fonctions ci- dessous qui s’appuient les unes sur les autres :
inverse_chaine: qui renvoie une chaîne de caractères inversée ;est_palindrome: qui teste si une chaîne de caractères est un palindrome ;est_nbre_palindrome: qui teste si un nombre est un palindrome.
Compléter le code des trois fonctions ci-dessous.
1 2 3 4 5 6 7 8 9 10 11 12 13 14 15 16 17 18 | |
Exemples :
>>> inverse_chaine('bac')
'cab'
>>> est_palindrome('NSI')
False
>>> est_palindrome('ISN-NSI')
True
>>> est_nbre_palindrome(214312)
False
>>> est_nbre_palindrome(213312)
True
1 2 3 4 5 6 7 8 9 10 11 12 13 14 15 16 17 18 | |
Un mot palindrome peut se lire de la même façon de gauche à droite ou de droite à gauche :
*kayak*, *radar*, et *non* sont des mots palindromes.
De même certains nombres ont des écritures décimales qui sont des palindromes : 33, 121,
345543.
L’objectif de cet exercice est d’obtenir un programme Python permettant de tester si un
nombre est un nombre palindrome.
Pour remplir cette tâche, on vous demande de compléter le code des trois fonctions ci-
dessous qui s’appuient les unes sur les autres :
- `inverse_chaine` : qui renvoie une chaîne de caractères inversée ;
- `est_palindrome` : qui teste si une chaîne de caractères est un palindrome ;
- `est_nbre_palindrome` : qui teste si un nombre est un palindrome.
Compléter le code des trois fonctions ci-dessous.
```python linenums='1'
def inverse_chaine(chaine):
'''Retourne la chaine inversée'''
resultat = ...
for caractere in chaine:
resultat = ...
return resultat
def est_palindrome(chaine):
'''Renvoie un booléen indiquant si la chaine ch
est un palindrome'''
inverse = inverse_chaine(chaine)
return ...
def est_nbre_palindrome(nbre):
'''Renvoie un booléen indiquant si le nombre nbre
est un palindrome'''
chaine = ...
return est_palindrome(chaine)
```
Exemples :
```python
>>> inverse_chaine('bac')
'cab'
>>> est_palindrome('NSI')
False
>>> est_palindrome('ISN-NSI')
True
>>> est_nbre_palindrome(214312)
False
>>> est_nbre_palindrome(213312)
True
```
27_1
Écrire une fonction verifie qui prend en paramètre un tableau de valeurs numériques et qui renvoie True si ce tableau est trié dans l’ordre croissant, False sinon.
Un tableau vide est considéré comme trié.
Exemples :
Exemples :
>>> verifie([0, 5, 8, 8, 9])
True
>>> verifie([8, 12, 4])
False
>>> verifie([-1, 4])
True
>>> verifie([])
True
>>> verifie([5])
True
1 2 3 4 5 | |
Écrire une fonction `verifie` qui prend en paramètre un tableau de valeurs numériques et qui renvoie `True` si ce tableau est trié dans l’ordre croissant, `False` sinon.
Un tableau vide est considéré comme trié.
Exemples :
```python
Exemples :
>>> verifie([0, 5, 8, 8, 9])
True
>>> verifie([8, 12, 4])
False
>>> verifie([-1, 4])
True
>>> verifie([])
True
>>> verifie([5])
True
```
27_2
On considère dans cet exercice l’élection d’un vainqueur à l’issue d’un vote. Les résultats
du vote sont stockés dans un tableau : chaque vote exprimé est le nom d’un ou d’une
candidate.
Par exemple, les résultats pourraient correspondre au tableau :
urne = ['A', 'A', 'A', 'B', 'C', 'B', 'C', 'B', 'C', 'B']
indiquant que 3 candidats ont obtenu au moins un vote chacun : A, B et C.
On cherche à déterminer le ou les candidats ayant obtenu le plus de suffrages. Pour cela, on propose d’écrire deux fonctions :
- La fonction
depouilledoit permettre de compter le nombre de votes exprimés pour chaque artiste. Elle prend en paramètre un tableau et renvoie le résultat dans un dictionnaire dont les clés sont les noms des issues et les valeurs le nombre de votes en leur faveur. - La fonction
vainqueursdoit désigner le nom du ou des gagnants. Elle prend en paramètre un dictionnaire non vide dont la structure est celle du dictionnaire renvoyé par la fonctiondepouilleet renvoie un tableau. Ce tableau peut donc contenir plusieurs éléments s’il y a des artistes ex- aequo. Compléter les fonctionsdepouilleetvainqueursci-après pour qu’elles renvoient les résultats attendus.
1 2 3 4 5 6 7 8 9 10 11 12 13 14 15 16 17 18 19 20 | |
Exemples d’utilisation :
>>> depouille([ 'A', 'B', 'A' ])
{'A': 2, 'B': 1}
>>> depouille([])
{}
>>> election = depouille(['A', 'A', 'A', 'B', 'C',
'B', 'C', 'B', 'C', 'B'])
>>> election
{'A': 3, 'B': 4, 'C': 3}
>>> vainqueurs(election)
['B']
>>> vainqueurs({ 'A' : 2, 'B' : 2, 'C' : 1})
['A', 'B']
1 2 3 4 5 6 7 8 9 10 11 12 13 14 15 16 17 18 19 20 | |
On considère dans cet exercice l’élection d’un vainqueur à l’issue d’un vote. Les résultats
du vote sont stockés dans un tableau : chaque vote exprimé est le nom d’un ou d’une
candidate.
Par exemple, les résultats pourraient correspondre au tableau :
```python
urne = ['A', 'A', 'A', 'B', 'C', 'B', 'C', 'B', 'C', 'B']
```
indiquant que 3 candidats ont obtenu au moins un vote chacun : A, B et C.
On cherche à déterminer le ou les candidats ayant obtenu le plus de suffrages. Pour cela, on
propose d’écrire deux fonctions :
- La fonction `depouille` doit permettre de compter le nombre de votes exprimés pour chaque
artiste. Elle prend en paramètre un tableau et renvoie le résultat dans un dictionnaire dont les
clés sont les noms des issues et les valeurs le nombre de votes en leur faveur.
- La fonction `vainqueurs` doit désigner le nom du ou des gagnants. Elle prend en paramètre un
dictionnaire **non vide** dont la structure est celle du dictionnaire renvoyé par la fonction `depouille` et
renvoie un tableau. Ce tableau peut donc contenir plusieurs éléments s’il y a des artistes ex-
aequo.
Compléter les fonctions `depouille` et `vainqueurs` ci-après pour qu’elles renvoient les
résultats attendus.
```python linenums='1'
def depouille(urne):
'''prend en paramètre une liste de suffrages et renvoie un
dictionnaire avec le nombre de voix pour chaque candidat'''
resultat = ...
for bulletin in urne:
if ...:
resultat[bulletin] = resultat[bulletin] + 1
else:
...
return resultat
def vainqueurs(election):
'''prend en paramètre un dictionnaire non vide avec le nombre de voix
pour chaque candidat et renvoie la liste des vainqueurs'''
nmax = 0
for candidat in election:
if ... > ... :
nmax = ...
liste_finale = [ nom for nom in election if ... ]
return ...
```
Exemples d’utilisation :
```python
>>> depouille([ 'A', 'B', 'A' ])
{'A': 2, 'B': 1}
>>> depouille([])
{}
>>> election = depouille(['A', 'A', 'A', 'B', 'C',
'B', 'C', 'B', 'C', 'B'])
>>> election
{'A': 3, 'B': 4, 'C': 3}
>>> vainqueurs(election)
['B']
>>> vainqueurs({ 'A' : 2, 'B' : 2, 'C' : 1})
['A', 'B']
```
28_1
Écrire une fonction a_doublon qui prend en paramètre un tableau trié de nombres dans
l’ordre croissant et renvoie True si ce tableau contient au moins deux nombres identiques,
False sinon.
Exemple :
>>> a_doublon([])
False
>>> a_doublon([1])
False
>>> a_doublon([1, 2, 4, 6, 6])
True
>>> a_doublon([2, 5, 7, 7, 7, 9])
True
>>> a_doublon([0, 2, 3])
False
1 2 3 4 5 | |
Écrire une fonction `a_doublon` qui prend en paramètre un tableau **trié** de nombres dans
l’ordre croissant et renvoie `True` si ce tableau contient au moins deux nombres identiques,
`False` sinon.
Exemple :
```python
>>> a_doublon([])
False
>>> a_doublon([1])
False
>>> a_doublon([1, 2, 4, 6, 6])
True
>>> a_doublon([2, 5, 7, 7, 7, 9])
True
>>> a_doublon([0, 2, 3])
False
```
28_2
On souhaite générer des grilles du jeu de démineur à partir de la position des bombes à
placer.
On se limite à la génération de grilles carrées de taille \(n \times n\) où \(n\) est le nombre de bombes du jeu.
Dans le jeu du démineur, chaque case de la grille contient soit une bombe, soit une valeur qui correspond aux nombres de bombes situées dans le voisinage direct de la case (au- dessus, en dessous, à droite, à gauche ou en diagonale : chaque case a donc 8 voisins si elle n'est pas située au bord de la grille).
Voici un exemple de grille \(5 \times 5\) de démineur dans laquelle la bombe est représentée par une étoile :

On utilise une liste de listes pour représenter la grille et on choisit de coder une bombe par la valeur -1.
L'exemple ci-contre sera donc codé par la liste :
[[1, 1, 1, 0, 0],
[1, -1, 1, 1, 1],
[2, 2, 3, 2, -1],
[1, -1, 2, -1, 3],
[1, 1, 2, 2, -1]]
Compléter le code suivant afin de générer des grilles de démineur, on pourra vérifier que l'appel
genere_grille([(1, 1), (2, 4), (3, 1), (3, 3), (4, 4)])
renvoie bien la liste donnée en exemple.
1 2 3 4 5 6 7 8 9 10 11 12 13 14 15 16 17 18 19 20 21 22 23 24 25 26 27 28 29 30 31 32 33 34 35 36 37 | |
1 2 3 4 5 6 7 8 9 10 11 12 13 14 15 16 17 18 19 20 21 22 23 24 25 26 27 28 29 30 31 32 33 34 | |
On souhaite générer des grilles du jeu de démineur à partir de la position des bombes à
placer.
On se limite à la génération de grilles carrées de taille $n \times n$ où $n$ est le nombre de bombes du jeu.
Dans le jeu du démineur, chaque case de la grille contient soit une bombe, soit une valeur
qui correspond aux nombres de bombes situées dans le voisinage direct de la case (au-
dessus, en dessous, à droite, à gauche ou en diagonale : chaque case a donc 8 voisins si
elle n'est pas située au bord de la grille).
Voici un exemple de grille $5 \times 5$ de démineur dans laquelle la bombe est représentée par une étoile :
{: .center}
On utilise une liste de listes pour représenter la grille et on choisit de coder une bombe par la valeur -1.
L'exemple ci-contre sera donc codé par la liste :
```python
[[1, 1, 1, 0, 0],
[1, -1, 1, 1, 1],
[2, 2, 3, 2, -1],
[1, -1, 2, -1, 3],
[1, 1, 2, 2, -1]]
```
Compléter le code suivant afin de générer des grilles de démineur, on pourra vérifier que
l'appel
`genere_grille([(1, 1), (2, 4), (3, 1), (3, 3), (4, 4)])`
renvoie bien la liste donnée en exemple.
```python linenums='1'
def voisinage(n, ligne, colonne):
""" Renvoie la liste des coordonnées des voisins de la case
(ligne, colonne) dans un grille de taille n x n,
en tenant compte des cases sur les bords. """
voisins = []
for dl in range(-1, 2):
for dc in range(-1, 2):
l = ligne + dl
c = colonne + dc
if (l, c) != (ligne, colonne) and 0 <= l < n and 0 <= c < n:
voisins.append((l,c))
return voisins
def incremente_voisins(grille, ligne, colonne):
""" Incrémente de 1 toutes les cases voisines d'une bombe."""
voisins = ...
for l, c in voisins:
if grille[l][c] != ...: # si ce n'est pas une bombe
... # on ajoute 1 à sa valeur
def genere_grille(bombes):
""" Renvoie une grille de démineur de taille nxn où n est
le nombre de bombes, en plaçant les bombes à l'aide de
la liste bombes de coordonnées (tuples) passée en
paramètre. """
n = len(bombes)
# Initialisation d'une grille nxn remplie de 0
grille = [[0 for colonne in range(n)] for ligne in range(n)]
# Place les bombes et calcule les valeurs des autres cases
for ligne, colonne in bombes:
grille[ligne][colonne] = ... # place la bombe
... # incrémente ses voisins
return grille
```
29_1
On considère des tables, c’est-à-dire des tableaux de dictionnaires ayant tous les mêmes
clés, qui contiennent des enregistrements relatifs à des animaux hébergés dans un refuge.
Les attributs des enregistrements sont 'nom', 'espece', 'age', 'enclos'.
Voici un exemple d'une telle table :
animaux = [ {'nom':'Medor', 'espece':'chien', 'age':5, 'enclos':2},
{'nom':'Titine', 'espece':'chat', 'age':2, 'enclos':5},
{'nom':'Tom', 'espece':'chat', 'age':7, 'enclos':4},
{'nom':'Belle', 'espece':'chien', 'age':6, 'enclos':3},
{'nom':'Mirza', 'espece':'chat', 'age':6, 'enclos':5}]
Programmer une fonction selection_enclos qui :
- prend en paramètres :
- une table
animauxcontenant des enregistrements relatifs à des animaux (comme dans l'exemple ci-dessus), - un numéro d'enclos
num_enclos;
- une table
- renvoie une table contenant les enregistrements de
animauxdont l'attribut'enclos'estnum_enclos.
Exemples avec la table animaux ci-dessus :
>>> selection_enclos(animaux, 5)
[{'nom':'Titine', 'espece':'chat', 'age':2, 'enclos':5},
{'nom':'Mirza', 'espece':'chat', 'age':6, 'enclos':5}]
>>> selection_enclos(animaux, 2)
[{'nom':'Medor', 'espece':'chien', 'age':5, 'enclos':2}]
>>> selection_enclos(animaux, 7)
[]
1 2 3 4 5 6 | |
On considère des tables, c’est-à-dire des tableaux de dictionnaires ayant tous les mêmes
clés, qui contiennent des enregistrements relatifs à des animaux hébergés dans un refuge.
Les attributs des enregistrements sont `'nom'`, `'espece'`, `'age'`, `'enclos'`.
Voici un exemple d'une telle table :
```python
animaux = [ {'nom':'Medor', 'espece':'chien', 'age':5, 'enclos':2},
{'nom':'Titine', 'espece':'chat', 'age':2, 'enclos':5},
{'nom':'Tom', 'espece':'chat', 'age':7, 'enclos':4},
{'nom':'Belle', 'espece':'chien', 'age':6, 'enclos':3},
{'nom':'Mirza', 'espece':'chat', 'age':6, 'enclos':5}]
```
Programmer une fonction `selection_enclos` qui :
- prend en paramètres :
- une table `animaux` contenant des enregistrements relatifs à des
animaux (comme dans l'exemple ci-dessus),
- un numéro d'enclos `num_enclos` ;
- renvoie une table contenant les enregistrements de `animaux` dont l'attribut
`'enclos'` est `num_enclos`.
Exemples avec la table `animaux` ci-dessus :
```python
>>> selection_enclos(animaux, 5)
[{'nom':'Titine', 'espece':'chat', 'age':2, 'enclos':5},
{'nom':'Mirza', 'espece':'chat', 'age':6, 'enclos':5}]
>>> selection_enclos(animaux, 2)
[{'nom':'Medor', 'espece':'chien', 'age':5, 'enclos':2}]
>>> selection_enclos(animaux, 7)
[]
```
29_2
On considère des tableaux de nombres dont tous les éléments sont présents exactement trois fois à la suite, sauf un élément qui est présent une unique fois et que l'on appelle « l'intrus ». Voici quelques exemples :
tab_a = [3, 3, 3, 9, 9, 9, 1, 1, 1, 7, 2, 2, 2, 4, 4, 4, 8, 8, 8, 5, 5, 5]
#l'intrus est 7
tab_b = [8, 5, 5, 5, 9, 9, 9, 18, 18, 18, 3, 3, 3]
#l'intrus est 8
tab_c = [5, 5, 5, 1, 1, 1, 0, 0, 0, 6, 6, 6, 3, 8, 8, 8]
#l'intrus est 3
- pour les indices multiples de 3 situés strictement avant l'intrus, l'élément correspondant et son voisin de droite sont égaux,
- pour les indices multiples de 3 situés après l'intrus, l'élément correspondant et son voisin de droite - s'il existe - sont différents.
Ce que l'on peut observer ci-dessous en observant les valeurs des paires de voisins marquées par des caractères ^ :
[3, 3, 3, 9, 9, 9, 1, 1, 1, 7, 2, 2, 2, 4, 4, 4, 8, 8, 8, 5, 5, 5]
^ ^ ^ ^ ^ ^ ^ ^ ^ ^ ^ ^ ^ ^ ^
0 3 6 9 12 15 18 21
Dans des listes comme ceux ci-dessus, un algorithme récursif pour trouver l'intrus consiste
alors à choisir un indice i multiple de 3 situé approximativement au milieu des indices parmi
lesquels se trouve l'intrus.
Puis, en fonction des valeurs de l'élément d'indice i et de son voisin de droite, à appliquer
récursivement l'algorithme à la moitié droite ou à la moitié gauche des indices parmi lesquels
se trouve l'intrus.
Par exemple, si on s’intéresse à l’indice 12, on voit les valeurs 2 et 4 qui sont différentes : l’intrus est donc à gauche de l’indice 12 (indice 12 compris)
En revanche, si on s’intéresse à l’indice 3, on voit les valeurs 9 et 9 qui sont identiques : l’intrus est donc à droite des indices 3-4-5, donc à partir de l’indice 6.
Compléter la fonction récursive trouver_intrus proposée page suivante qui met
en œuvre cet algorithme.
1 2 3 4 5 6 7 8 9 10 11 12 13 14 15 16 17 | |
Exemples :
>>> trouver_intrus([3, 3, 3, 9, 9, 9, 1, 1, 1, 7, 2, 2, 2, 4, 4, 4, 8, 8,
8, 5, 5, 5], 0, 21)
7
>>> trouver_intrus([8, 5, 5, 5, 9, 9, 9, 18, 18, 18, 3, 3, 3], 0, 12)
8
>>> trouver_intrus([5, 5, 5, 1, 1, 1, 0, 0, 0, 6, 6, 6, 3, 8, 8, 8], 0, 15)
3
1 2 3 4 5 6 7 8 9 10 11 12 13 14 15 16 17 | |
On considère des tableaux de nombres dont tous les éléments sont présents exactement
trois fois à la suite, sauf un élément qui est présent une unique fois et que l'on appelle «
l'intrus ». Voici quelques exemples :
```python
tab_a = [3, 3, 3, 9, 9, 9, 1, 1, 1, 7, 2, 2, 2, 4, 4, 4, 8, 8, 8, 5, 5, 5]
#l'intrus est 7
tab_b = [8, 5, 5, 5, 9, 9, 9, 18, 18, 18, 3, 3, 3]
#l'intrus est 8
tab_c = [5, 5, 5, 1, 1, 1, 0, 0, 0, 6, 6, 6, 3, 8, 8, 8]
#l'intrus est 3
```
On remarque qu'avec de tels tableaux :
- pour les indices multiples de 3 situés strictement avant l'intrus, l'élément
correspondant et son voisin de droite sont égaux,
- pour les indices multiples de 3 situés après l'intrus, l'élément correspondant et son
voisin de droite - s'il existe - sont différents.
Ce que l'on peut observer ci-dessous en observant les valeurs des paires de voisins
marquées par des caractères ^ :
```python
[3, 3, 3, 9, 9, 9, 1, 1, 1, 7, 2, 2, 2, 4, 4, 4, 8, 8, 8, 5, 5, 5]
^ ^ ^ ^ ^ ^ ^ ^ ^ ^ ^ ^ ^ ^ ^
0 3 6 9 12 15 18 21
```
Dans des listes comme ceux ci-dessus, un algorithme récursif pour trouver l'intrus consiste
alors à choisir un indice `i` multiple de 3 situé approximativement au milieu des indices parmi
lesquels se trouve l'intrus.
Puis, en fonction des valeurs de l'élément d'indice `i` et de son voisin de droite, à appliquer
récursivement l'algorithme à la moitié droite ou à la moitié gauche des indices parmi lesquels
se trouve l'intrus.
Par exemple, si on s’intéresse à l’indice 12, on voit les valeurs 2 et 4 qui sont
différentes : l’intrus est donc à gauche de l’indice 12 (indice 12 compris)
En revanche, si on s’intéresse à l’indice 3, on voit les valeurs 9 et 9 qui sont
identiques : l’intrus est donc à droite des indices 3-4-5, donc à partir de l’indice 6.
Compléter la fonction récursive `trouver_intrus` proposée page suivante qui met
en œuvre cet algorithme.
```python linenums='1'
def trouver_intrus(tab, g, d):
'''
Renvoie la valeur de l'intrus situé entre les indices g et d
dans la liste tab où :
tab vérifie les conditions de l'exercice,
g et d sont des multiples de 3.
'''
if g == d:
return ...
else:
nombre_de_triplets = (d - g) // ...
indice = g + 3 * (nombre_de_triplets // 2)
if ... :
return ...
else:
return ...
```
Exemples :
```python
>>> trouver_intrus([3, 3, 3, 9, 9, 9, 1, 1, 1, 7, 2, 2, 2, 4, 4, 4, 8, 8,
8, 5, 5, 5], 0, 21)
7
>>> trouver_intrus([8, 5, 5, 5, 9, 9, 9, 18, 18, 18, 3, 3, 3], 0, 12)
8
>>> trouver_intrus([5, 5, 5, 1, 1, 1, 0, 0, 0, 6, 6, 6, 3, 8, 8, 8], 0, 15)
3
```
30_1
Le codage par différence (delta encoding en anglais) permet de compresser un tableau d’entiers dont les valeurs sont proches les unes des autres. Le principe est de stocker la première donnée en indiquant pour chaque autre donnée sa différence avec la précédente plutôt que la donnée elle-même.
On se retrouve alors avec un tableau de données plus petit, nécessitant moins de place en mémoire. Cette méthode se révèle efficace lorsque les valeurs consécutives sont proches.
Programmer la fonction delta(liste) qui prend en paramètre un tableau non vide de nombres entiers
et qui renvoie un tableau contenant les valeurs entières compressées à l’aide cette technique.
Exemples :
>>> delta([1000, 800, 802, 1000, 1003])
[1000, -200, 2, 198, 3]
>>> delta([42])
[42]
1 2 3 4 5 | |
Le codage par différence (*delta encoding* en anglais) permet de compresser un tableau
d’entiers dont les valeurs sont proches les unes des autres. Le principe est de stocker la
première donnée en indiquant pour chaque autre donnée sa différence avec la précédente
plutôt que la donnée elle-même.
On se retrouve alors avec un tableau de données plus petit, nécessitant
moins de place en mémoire. Cette méthode se révèle efficace lorsque les valeurs consécutives
sont proches.
Programmer la fonction `delta(liste)` qui prend en paramètre un tableau non vide de nombres entiers
et qui renvoie un tableau contenant les valeurs entières compressées à l’aide cette technique.
Exemples :
```python
>>> delta([1000, 800, 802, 1000, 1003])
[1000, -200, 2, 198, 3]
>>> delta([42])
[42]
```
30_2
Une expression arithmétique ne comportant que les quatre opérations +, −, ×, ÷ peut être représentée sous forme d’arbre binaire. Les nœuds internes sont des opérateurs et les feuilles sont des nombres. Dans un tel arbre, la disposition des nœuds joue le rôle des parenthèses que nous connaissons bien.

En parcourant en profondeur infixe l’arbre binaire ci-dessus, on retrouve l’expression notée habituellement :
La classe Expr ci-après permet d’implémenter une structure
d’arbre binaire pour représenter de telles expressions.
Compléter la méthode récursive infixe qui renvoie une chaîne de caractères contenant
des parenthèses représentant l’expression arithmétique sur laquelle on l’applique.
1 2 3 4 5 6 7 8 9 10 11 12 13 14 15 16 17 18 19 20 21 22 23 24 25 26 27 | |
Exemples :
>>> a = Expr(Expr(None, 1, None), '+', Expr(None, 2, None))
>>> a.infixe()
'(1+2)'
>>> b = Expr(Expr(Expr(None, 1, None), '+', Expr(None, 2, None)), '*', Expr(Expr(None, 3, None), '+', Expr(None, 4, None)))
>>> b.infixe()
'((1+2)*(3+4))'
>>> e = Expr(Expr(Expr(None, 3, None), '*', Expr(Expr(None, 8, None), '+', Expr(None, 7, None))),
'-', Expr(Expr(None, 2, None), '+', Expr(None, 1, None)))
>>> e.infixe()
'((3*(8+7))-(2+1))'
1 2 3 4 5 6 7 8 9 10 11 12 13 14 15 16 17 18 19 20 21 22 23 24 25 26 27 | |
Une expression arithmétique ne comportant que les quatre opérations +, −, ×, ÷ peut être
représentée sous forme d’arbre binaire. Les nœuds internes sont des opérateurs et les feuilles
sont des nombres. Dans un tel arbre, la disposition des nœuds joue le rôle des parenthèses que
nous connaissons bien.
{: .center width=30%}
En parcourant en profondeur infixe l’arbre binaire ci-dessus, on
retrouve l’expression notée habituellement :
$$(3 \times (8 + 7)) − (2 + 1)$$
La classe `Expr` ci-après permet d’implémenter une structure
d’arbre binaire pour représenter de telles expressions.
Compléter la méthode récursive `infixe` qui renvoie une chaîne de caractères contenant
des parenthèses représentant l’expression arithmétique sur laquelle on l’applique.
```python linenums='1'
class Expr:
"""Classe implémentant un arbre d'expression."""
def __init__(self, g, v, d):
"""un objet Expr possède 3 attributs :
- gauche : la sous-expression gauche ;
- valeur : la valeur de l'étiquette, opérateur ou nombre ;
- droite : la sous-expression droite."""
self.gauche = g
self.valeur = v
self.droite = d
def est_une_feuille(self):
"""renvoie True si et seulement
si le noeud est une feuille"""
return self.gauche is None and self.droite is None
def infixe(self):
"""renvoie la représentation infixe de l'expression en
chaine de caractères"""
s = ...
if self.gauche is not None:
s = s + '(' + ....infixe()
s = s + ...
if ... is not None:
s = s + ... + ...
return s
```
Exemples :
```python
>>> a = Expr(Expr(None, 1, None), '+', Expr(None, 2, None))
>>> a.infixe()
'(1+2)'
>>> b = Expr(Expr(Expr(None, 1, None), '+', Expr(None, 2, None)), '*', Expr(Expr(None, 3, None), '+', Expr(None, 4, None)))
>>> b.infixe()
'((1+2)*(3+4))'
>>> e = Expr(Expr(Expr(None, 3, None), '*', Expr(Expr(None, 8, None), '+', Expr(None, 7, None))),
'-', Expr(Expr(None, 2, None), '+', Expr(None, 1, None)))
>>> e.infixe()
'((3*(8+7))-(2+1))'
```
32_1
Écrire une fonction occurrences(caractere, chaine) qui prend en paramètres
caractere, une chaîne de caractère de longueur 1, et chaine, une chaîne de caractères.
Cette fonction renvoie le nombre d’occurrences de caractere dans chaine, c’est-à-dire
le nombre de fois où caractere apparaît dans chaine.
Exemples :
>>> occurrences('e', "sciences")
2
>>> occurrences('i',"mississippi")
4
>>> occurrences('a',"mississippi")
0
1 2 3 4 5 6 | |
Écrire une fonction `occurrences(caractere, chaine)` qui prend en paramètres
`caractere`, une chaîne de caractère de longueur 1, et `chaine`, une chaîne de caractères.
Cette fonction renvoie le nombre d’occurrences de `caractere` dans `chaine`, c’est-à-dire
le nombre de fois où `caractere` apparaît dans `chaine`.
Exemples :
```python
>>> occurrences('e', "sciences")
2
>>> occurrences('i',"mississippi")
4
>>> occurrences('a',"mississippi")
0
```
32_2
On s’intéresse à un algorithme récursif qui permet de rendre la monnaie à partir d’une liste donnée de valeurs de pièces et de billets.
Le système monétaire est donné sous forme d’une liste valeurs = [100, 50, 20,
10, 5, 2, 1]. On suppose que les pièces et billets sont disponibles sans limitation.
On cherche à donner la liste des valeurs à rendre pour une somme donnée en argument. L’algorithme utilisé est de type glouton.
Compléter le code Python ci-dessous de la fonction rendu_glouton qui implémente cet
algorithme et renvoie la liste des pièces à rendre.
1 2 3 4 5 6 7 8 9 10 | |
On devra obtenir :
>>>rendu_glouton(67, 0)
[50, 10, 5, 2]
>>>rendu_glouton(291, 0)
[100, 100, 50, 20, 20, 1]
>>> rendu_glouton(291,1) # si on ne dispose pas de billets de 100
[50, 50, 50, 50, 50, 20, 20, 1]
1 2 3 4 5 6 7 8 9 10 | |
On s’intéresse à un algorithme récursif qui permet de rendre la monnaie à partir d’une
liste donnée de valeurs de pièces et de billets.
Le système monétaire est donné sous forme d’une liste `valeurs = [100, 50, 20,
10, 5, 2, 1]`. On suppose que les pièces et billets sont disponibles sans limitation.
On cherche à donner la liste des valeurs à rendre pour une somme donnée en
argument. L’algorithme utilisé est de type glouton.
Compléter le code Python ci-dessous de la fonction `rendu_glouton` qui implémente cet
algorithme et renvoie la liste des pièces à rendre.
```python linenums='1'
valeurs = [100, 50, 20, 10, 5, 2, 1]
def rendu_glouton(a_rendre, rang):
if a_rendre == 0:
return ...
v = valeurs[rang]
if v <= ... :
return ... + rendu_glouton(a_rendre - v, rang)
else :
return rendu_glouton(a_rendre, ...)
```
On devra obtenir :
```python
>>>rendu_glouton(67, 0)
[50, 10, 5, 2]
>>>rendu_glouton(291, 0)
[100, 100, 50, 20, 20, 1]
>>> rendu_glouton(291,1) # si on ne dispose pas de billets de 100
[50, 50, 50, 50, 50, 20, 20, 1]
```
34_1
Écrire une fonction tri_selection qui prend en paramètre un tableau tab de nombres
entiers (type list) et qui le modifie afin qu’il soit trié par ordre croissant.
On utilisera l’algorithme suivant :
- on recherche le plus petit élément du tableau, en le parcourant du rang 0 au dernier rang, et on l’échange avec l’élément d’indice 0 ;
- on recherche ensuite le plus petit élément du tableau restreint du rang 1 au dernier rang, et on l’échange avec l’élément d’indice 1 ;
- on continue de cette façon jusqu’à ce que le tableau soit entièrement trié.
Exemple :
>>> tab = [1, 52, 6, -9, 12]
>>> tri_selection(tab)
>>> tab
[-9, 1, 6, 12, 52]
1 2 3 4 5 6 7 8 | |
Écrire une fonction `tri_selection` qui prend en paramètre un tableau `tab` de nombres
entiers (type `list`) et qui le modifie afin qu’il soit trié par ordre croissant.
On utilisera l’algorithme suivant :
- on recherche le plus petit élément du tableau, en le parcourant du rang 0 au dernier
rang, et on l’échange avec l’élément d’indice 0 ;
- on recherche ensuite le plus petit élément du tableau restreint du rang 1 au dernier
rang, et on l’échange avec l’élément d’indice 1 ;
- on continue de cette façon jusqu’à ce que le tableau soit entièrement trié.
Exemple :
```python
>>> tab = [1, 52, 6, -9, 12]
>>> tri_selection(tab)
>>> tab
[-9, 1, 6, 12, 52]
```
34_2
Le jeu du « plus ou moins » consiste à deviner un nombre entier choisi entre 1 et 99.
Une élève de NSI décide de le coder en langage Python de la manière suivante :
- le programme génère un nombre entier aléatoire compris entre 1 et 99 ;
- si la proposition de l’utilisatrice est plus petite que le nombre cherché, l’utilisatrice en est avertie. Elle peut alors en tester un autre ;
- si la proposition de l’utilisatrice est plus grande que le nombre cherché, l’utilisatrice en est avertie. Elle peut alors en tester un autre ;
- si l’utilisatrice trouve le bon nombre en 10 essais ou moins, elle gagne ;
- si l’utilisatrice a fait plus de 10 essais sans trouver le bon nombre, elle perd.
La fonction randint est utilisée.
Si a et b sont des entiers tels que a <= b, randint(a,b) renvoie un
nombre entier compris entre a et b.
Compléter le code ci-dessous et le tester :
1 2 3 4 5 6 7 8 9 10 11 12 13 14 15 16 17 18 19 | |
1 2 3 4 5 6 7 8 9 10 11 12 13 14 15 16 17 18 19 | |
Le jeu du « plus ou moins » consiste à deviner un nombre entier choisi entre 1 et 99.
Une élève de NSI décide de le coder en langage Python de la manière suivante :
- le programme génère un nombre entier aléatoire compris entre 1 et 99 ;
- si la proposition de l’utilisatrice est plus petite que le nombre cherché, l’utilisatrice en
est avertie. Elle peut alors en tester un autre ;
- si la proposition de l’utilisatrice est plus grande que le nombre cherché, l’utilisatrice en
est avertie. Elle peut alors en tester un autre ;
- si l’utilisatrice trouve le bon nombre en 10 essais ou moins, elle gagne ;
- si l’utilisatrice a fait plus de 10 essais sans trouver le bon nombre, elle perd.
La fonction `randint` est utilisée.
Si a et b sont des entiers tels que `a <= b`, `randint(a,b)` renvoie un
nombre entier compris entre `a` et `b`.
Compléter le code ci-dessous et le tester :
```python linenums='1'
from random import randint
def plus_ou_moins():
nb_mystere = randint(1,...)
nb_test = int(input("Proposez un nombre entre 1 et 99 : "))
compteur = ...
while nb_mystere != ... and compteur < ... :
compteur = compteur + ...
if nb_mystere ... nb_test:
nb_test = int(input("Trop petit ! Testez encore : "))
else:
nb_test = int(input("Trop grand ! Testez encore : "))
if nb_mystere == nb_test:
print ("Bravo ! Le nombre était ",...)
print("Nombre d'essais: ",...)
else:
print ("Perdu ! Le nombre était ",...)
```
35_1
Sur le réseau social TipTop, on s’intéresse au nombre de « like » des abonnés. Les données sont stockées dans des dictionnaires où les clés sont les pseudos et les valeurs correspondantes sont les nombres de « like » comme ci-dessous :
{'Bob': 102, 'Ada': 201, 'Alice': 103, 'Tim': 50}
Écrire une fonction max_dico qui :
- Prend en paramètre un dictionnaire
diconon vide dont les clés sont des chaînes de caractères et les valeurs associées sont des entiers ; - Renvoie un tuple dont :
- La première valeur est une clé du dictionnaire associée à la valeur maximale ;
- la seconde valeur est cette valeur maximale.
Exemples :
>>> max_dico({'Bob': 102, 'Ada': 201, 'Alice': 103, 'Tim': 50})
('Ada', 201)
>>> max_dico({'Alan': 222, 'Ada': 201, 'Eve': 220, 'Tim': 50})
('Alan', 222)
1 2 3 4 5 6 7 8 | |
Sur le réseau social TipTop, on s’intéresse au nombre de « like » des abonnés.
Les données sont stockées dans des dictionnaires où les clés sont les pseudos et les valeurs
correspondantes sont les nombres de « like » comme ci-dessous :
`{'Bob': 102, 'Ada': 201, 'Alice': 103, 'Tim': 50}`
Écrire une fonction `max_dico` qui :
- Prend en paramètre un dictionnaire `dico` non vide dont les clés sont des chaînes de
caractères et les valeurs associées sont des entiers ;
- Renvoie un tuple dont :
- La première valeur est une clé du dictionnaire associée à la valeur maximale ;
- la seconde valeur est cette valeur maximale.
Exemples :
```python
>>> max_dico({'Bob': 102, 'Ada': 201, 'Alice': 103, 'Tim': 50})
('Ada', 201)
>>> max_dico({'Alan': 222, 'Ada': 201, 'Eve': 220, 'Tim': 50})
('Alan', 222)
```
35_2
Nous avons l’habitude de noter les expressions arithmétiques avec des parenthèses comme par exemple : (2 + 3) × 5.
Il existe une autre notation utilisée par certaines calculatrices, appelée notation postfixe, qui n’utilise pas de parenthèses. L’expression arithmétique précédente est alors obtenue en
saisissant successivement 2, puis 3, puis l’opérateur +, puis 5, et enfin l’opérateur ×. On
modélise cette saisie par le tableau [2, 3, '+', 5, '*'].
Autre exemple, la notation postfixe de 3 × 2 + 5 est modélisée par le tableau :
[3, 2, '*', 5, '+'].
D’une manière plus générale, la valeur associée à une expression arithmétique en notation postfixe est déterminée à l’aide d’une pile en parcourant l’expression arithmétique de gauche à droite de la façon suivante :
- Si l’élément parcouru est un nombre, on le place au sommet de la pile ;
- Si l’élément parcouru est un opérateur, on récupère les deux éléments situés au sommet de la pile et on leur applique l’opérateur. On place alors le résultat au sommet de la pile.
- À la fin du parcours, il reste alors un seul élément dans la pile qui est le résultat de l’expression arithmétique.
Dans le cadre de cet exercice, on se limitera aux opérations × et +.
Pour cet exercice, on dispose d’une classe Pile qui implémente les méthodes de base sur la
structure de pile.
Compléter le script de la fonction eval_expression qui reçoit en paramètre une liste python
représentant la notation postfixe d’une expression arithmétique et qui renvoie sa valeur
associée.
1 2 3 4 5 6 7 8 9 10 11 12 13 14 15 16 17 18 19 20 21 22 23 24 25 26 27 28 29 30 31 32 33 34 | |
Exemples :
>>> eval_expression([2, 3, '+', 5, '*'])
25
>>> eval_expression([1, 2, '+', 3, '*'])
9
>>> eval_expression([1, 2, 3, '+', '*'])
5
1 2 3 4 5 6 7 8 9 10 11 12 13 14 15 16 17 18 19 20 21 22 23 24 25 26 27 28 29 30 31 32 33 34 | |
Nous avons l’habitude de noter les expressions arithmétiques avec des parenthèses comme
par exemple : (2 + 3) × 5.
Il existe une autre notation utilisée par certaines calculatrices, appelée notation postfixe, qui n’utilise pas de parenthèses. L’expression arithmétique précédente est alors obtenue en
saisissant successivement 2, puis 3, puis l’opérateur +, puis 5, et enfin l’opérateur ×. On
modélise cette saisie par le tableau `[2, 3, '+', 5, '*']`.
Autre exemple, la notation postfixe de 3 × 2 + 5 est modélisée par le tableau :
`[3, 2, '*', 5, '+']`.
D’une manière plus générale, la valeur associée à une expression arithmétique en notation
postfixe est déterminée à l’aide d’une pile en parcourant l’expression arithmétique de gauche
à droite de la façon suivante :
- Si l’élément parcouru est un nombre, on le place au sommet de la pile ;
- Si l’élément parcouru est un opérateur, on récupère les deux éléments situés au
sommet de la pile et on leur applique l’opérateur. On place alors le résultat au sommet
de la pile.
- À la fin du parcours, il reste alors un seul élément dans la pile qui est le résultat de
l’expression arithmétique.
Dans le cadre de cet exercice, on se limitera aux opérations × et +.
Pour cet exercice, on dispose d’une classe `Pile` qui implémente les méthodes de base sur la
structure de pile.
Compléter le script de la fonction `eval_expression` qui reçoit en paramètre une liste python
représentant la notation postfixe d’une expression arithmétique et qui renvoie sa valeur
associée.
```python linenums='1'
class Pile:
"""Classe définissant une structure de pile."""
def __init__(self):
self.contenu = []
def est_vide(self):
"""Renvoie le booléen True si la pile est vide, False sinon."""
return self.contenu == []
def empiler(self, v):
"""Place l'élément v au sommet de la pile"""
self.contenu.append(v)
def depiler(self):
"""
Retire et renvoie l’élément placé au sommet de la pile,
si la pile n’est pas vide. Produit une erreur sinon.
"""
assert not self.est_vide()
return self.contenu.pop()
def eval_expression(tab):
p = Pile()
for ... in tab:
if element != '+' ... element != '*':
p.empiler(...)
else:
if element == ...:
resultat = ... + ...
else:
resultat = ...
p.empiler(...)
return ...
```
Exemples :
```python
>>> eval_expression([2, 3, '+', 5, '*'])
25
>>> eval_expression([1, 2, '+', 3, '*'])
9
>>> eval_expression([1, 2, 3, '+', '*'])
5
```
36_1
Dans cet exercice, on considère des phrases composées de mots.
-
On appelle « mot » une chaîne de caractères composée avec des caractères choisis parmi les 26 lettres minuscules ou majuscules de l'alphabet,
-
On appelle phrase une chaîne de caractères :
- composée avec un ou plusieurs mots séparés entre eux par un seul
caractère espace
' ', - se finissant :
- soit par un point
'.'qui est alors collé au dernier mot, - soit par un point d'exclamation
'!'ou d'interrogation'?'qui est alors séparé du dernier mot par un seul caractère espace' '.
- soit par un point
- composée avec un ou plusieurs mots séparés entre eux par un seul
caractère espace
Voici deux exemples de phrases :
- 'Cet exercice est simple.'
- 'Le point d exclamation est separe !'
Après avoir remarqué le lien entre le nombre de mots et le nombres de caractères espace
dans une phrase, programmer une fonction nombre_de_mots qui prend en paramètre une
phrase et renvoie le nombre de mots présents dans cette phrase.
>>> nombre_de_mots('Cet exercice est simple.')
4
>>> nombre_de_mots('Le point d exclamation est séparé !')
6
>>> nombre_de_mots('Combien de mots y a t il dans cette phrase ?')
10
>>> nombre_de_mots('Fin.')
1
1 2 3 4 5 6 | |
Dans cet exercice, on considère des phrases composées de mots.
- On appelle « mot » une chaîne de caractères composée avec des caractères choisis
parmi les 26 lettres minuscules ou majuscules de l'alphabet,
- On appelle *phrase* une chaîne de caractères :
- composée avec un ou plusieurs *mots* séparés entre eux par un seul
caractère espace `' '`,
- se finissant :
- soit par un point `'.'` qui est alors collé au dernier mot,
- soit par un point d'exclamation `'!'` ou d'interrogation `'?'` qui est alors
séparé du dernier mot par un seul caractère espace `' '`.
Voici deux exemples de phrases :
- 'Cet exercice est simple.'
- 'Le point d exclamation est separe !'
Après avoir remarqué le lien entre le nombre de mots et le nombres de caractères espace
dans une phrase, programmer une fonction `nombre_de_mots` qui prend en paramètre une
phrase et renvoie le nombre de mots présents dans cette phrase.
```python
>>> nombre_de_mots('Cet exercice est simple.')
4
>>> nombre_de_mots('Le point d exclamation est séparé !')
6
>>> nombre_de_mots('Combien de mots y a t il dans cette phrase ?')
10
>>> nombre_de_mots('Fin.')
1
```
36_2
Un arbre binaire de recherche est soit vide, représenté en Python par la valeur None, soit un nœud, contenant une étiquette et deux sous-arbres gauche et droit et représenté par une instance de la classe Noeud donnée ci-dessous.
On considère ici que les étiquettes des nœuds sont des entiers et que les arbres binaires de recherche considérés ne contiennent pas de doublons.
1 2 3 4 5 6 7 8 9 10 11 12 13 14 15 16 17 18 19 20 21 | |
Compléter la méthode récursive inserer afin qu’elle permette d’insérer une clé dans
l’arbre binaire de recherche non vide sur lequel on l’appelle.
Voici un exemple d'utilisation :
>>> arbre = Noeud(7)
>>> for cle in (3, 9, 1, 6):
arbre.inserer(cle)
>>> arbre.gauche.etiquette
3
>>> arbre.droit.etiquette
9
>>> arbre.gauche.gauche.etiquette
1
>>> arbre.gauche.droit.etiquette
6
1 2 3 4 5 6 7 8 9 10 11 12 13 14 15 16 17 18 19 20 21 | |
Un arbre binaire de recherche est soit vide, représenté en Python par la valeur None, soit
un nœud, contenant une étiquette et deux sous-arbres gauche et droit et représenté par
une instance de la classe Noeud donnée ci-dessous.
On considère ici que les étiquettes des nœuds sont des entiers et que les arbres binaires de
recherche considérés ne contiennent pas de doublons.
```python linenums='1'
class Noeud:
def __init__(self, etiquette):
'''Méthode constructeur pour la classe Noeud.
Crée une feuille d'étiquette donnée.'''
self.etiquette = etiquette
self.gauche = None
self.droit = None
def inserer(self, cle):
'''Insère la clé dans l'arbre binaire de recherche
en préservant sa structure.'''
if cle < self.etiquette:
if self.gauche != None:
...
else:
self.gauche = ...
else:
...
...
else:
... = Noeud(cle)
```
Compléter la méthode récursive `inserer` afin qu’elle permette d’insérer une clé dans
l’arbre binaire de recherche non vide sur lequel on l’appelle.
Voici un exemple d'utilisation :
```python
>>> arbre = Noeud(7)
>>> for cle in (3, 9, 1, 6):
arbre.inserer(cle)
>>> arbre.gauche.etiquette
3
>>> arbre.droit.etiquette
9
>>> arbre.gauche.gauche.etiquette
1
>>> arbre.gauche.droit.etiquette
6
```
37_1
On considère dans cet exercice une représentation binaire d’un entier non signé en tant que tableau de booléens. Si
tab = [True, False, True, False, False, True, True]
est un tel tableau, alors l’entier qu’il représente est \(2^6 +2^4 + 2^1 + 2^0 = 83\). Cette représentation consistant à placer en premier le booléen indiquant la puissance la plus élevée de 2 est dite big-endian ou grand-boutiste.
Écrire une fonction gb_vers_entier qui prend en paramètre un tel tableau et renvoie
l’entier qu’il représente.
Exemple :
>>> gb_vers_entier([])
0
>>> gb_vers_entier([True])
1
>>> gb_vers_entier([True, False, True, False, False, True, True])
83
>>> gb_vers_entier([True, False, False, False, False, False, True, False])
130
1 2 3 4 5 6 | |
On considère dans cet exercice une représentation binaire d’un entier non signé en tant que
tableau de booléens.
Si
```python
tab = [True, False, True, False, False, True, True]
```
est un tel tableau, alors l’entier qu’il représente est $2^6 +2^4 + 2^1 + 2^0 = 83$. Cette représentation consistant à placer en premier le booléen indiquant la puissance la plus élevée de 2
est dite *big-endian* ou grand-boutiste.
Écrire une fonction `gb_vers_entier` qui prend en paramètre un tel tableau et renvoie
l’entier qu’il représente.
Exemple :
```python
>>> gb_vers_entier([])
0
>>> gb_vers_entier([True])
1
>>> gb_vers_entier([True, False, True, False, False, True, True])
83
>>> gb_vers_entier([True, False, False, False, False, False, True, False])
130
```
37_2
La fonction tri_insertion suivante prend en argument un tableau tab et trie ce tableau en
utilisant la méthode du tri par insertion. Compléter cette fonction pour qu'elle réponde à la
spécification demandée.
On rappelle le principe du tri par insertion : on considère les éléments à trier un par un, le premier élément constituant, à lui tout seul, un tableau trié de longueur 1. On range ensuite le second élément pour constituer un tableau trié de longueur 2, puis on range le troisième élément pour avoir un tableau trié de longueur 3 et ainsi de suite...
A chaque étape, le premier élément du sous-tableau non trié est placé dans le sous-tableau des éléments déjà triés de sorte que ce sous-tableau demeure trié.
Le principe du tri par insertion est donc d'insérer à la n-ième itération, le n-ième élément à la bonne place.
1 2 3 4 5 6 7 8 9 10 11 12 13 14 15 | |
Exemples :
>>> tab = [98, 12, 104, 23, 131, 9]
>>> tri_insertion(tab)
>>> tab
[9, 12, 23, 98, 104, 131]
1 2 3 4 5 6 7 8 9 10 11 12 13 14 15 | |
La fonction `tri_insertion` suivante prend en argument un tableau `tab` et trie ce tableau en
utilisant la méthode du tri par insertion. Compléter cette fonction pour qu'elle réponde à la
spécification demandée.
On rappelle le principe du tri par insertion : on considère les éléments à trier un par un,
le premier élément constituant, à lui tout seul, un tableau trié de longueur 1. On range
ensuite le second élément pour constituer un tableau trié de longueur 2, puis on range le
troisième élément pour avoir un tableau trié de longueur 3 et ainsi de suite...
A chaque étape, le premier élément du sous-tableau non trié est placé dans le sous-tableau
des éléments déjà triés de sorte que ce sous-tableau demeure trié.
Le principe du tri par insertion est donc d'insérer à la n-ième itération, le n-ième élément
à la bonne place.
```python linenums='1'
def tri_insertion(tab):
'''Trie le tableau tab par ordre croissant
en appliquant l'algorithme de tri par insertion'''
n = len(tab)
for i in range(1, n):
valeur_insertion = ...
# la variable j sert à déterminer
# où placer la valeur à ranger
j = ...
# tant qu'on n'a pas trouvé la place de l'élément à
# insérer on décale les valeurs du tableau vers la droite
while j > ... and valeur_insertion < tab[...]:
tab[j] = tab[j-1]
j = ...
tab[j] = ...
```
Exemples :
```python
>>> tab = [98, 12, 104, 23, 131, 9]
>>> tri_insertion(tab)
>>> tab
[9, 12, 23, 98, 104, 131]
```
43_1
Écrire une fonction couples_consecutifs qui prend en paramètre un tableau de
nombres entiers tab non vide (type list), et qui renvoie la liste Python (éventuellement vide) des couples d'entiers consécutifs successifs qu'il peut y avoir dans tab.
Exemples :
>>> couples_consecutifs([1, 4, 3, 5])
[]
>>> couples_consecutifs([1, 4, 5, 3])
[(4, 5)]
>>> couples_consecutifs([1, 1, 2, 4])
[(1, 2)]
>>> couples_consecutifs([7, 1, 2, 5, 3, 4])
[(1, 2), (3, 4)]
>>> couples_consecutifs([5, 1, 2, 3, 8, -5, -4, 7])
[(1, 2), (2, 3), (-5, -4)]
1 2 3 4 5 6 | |
Écrire une fonction `couples_consecutifs` qui prend en paramètre un tableau de
nombres entiers `tab` non vide (type `list`), et qui renvoie la liste Python (éventuellement vide) des couples d'entiers consécutifs successifs qu'il peut y avoir dans `tab`.
Exemples :
```python
>>> couples_consecutifs([1, 4, 3, 5])
[]
>>> couples_consecutifs([1, 4, 5, 3])
[(4, 5)]
>>> couples_consecutifs([1, 1, 2, 4])
[(1, 2)]
>>> couples_consecutifs([7, 1, 2, 5, 3, 4])
[(1, 2), (3, 4)]
>>> couples_consecutifs([5, 1, 2, 3, 8, -5, -4, 7])
[(1, 2), (2, 3), (-5, -4)]
```
43_2
Soit une image binaire représentée dans un tableau à 2 dimensions. Les éléments
M[i][j], appelés pixels, sont égaux soit à 0 soit à 1.
Une composante d’une image est un sous-ensemble de l’image constitué uniquement de
1 et de 0 qui sont côte à côte, soit horizontalement soit verticalement.
Par exemple, les composantes de
sont

On souhaite, à partir d’un pixel égal à 1 dans une image M, donner la valeur val à tous
les pixels de la composante à laquelle appartient ce pixel.
La fonction colore_comp1 prend pour paramètre une image M (représentée par une liste de
listes), deux entiers i et j et une valeur entière val. Elle met à la valeur val tous les pixels de la composante du pixel
M[i][j] s’il vaut 1 et ne fait rien sinon.
Par exemple, colore_comp1(M, 2, 1, 3) donne

Compléter le code récursif de la fonction colore_comp1 donné ci-dessous :
1 2 3 4 5 6 7 8 9 10 11 12 13 14 | |
dans le sujet original, les commentaires sur la direction de propagation sont erronés
Exemple :
>>> M = [[0, 0, 1, 0], [0, 1, 0, 1], [1, 1, 1, 0], [0, 1, 1, 0]]
>>> colore_comp1(M, 2, 1, 3)
>>> M
[[0, 0, 1, 0], [0, 3, 0, 1], [3, 3, 3, 0], [0, 3, 3, 0]]
1 2 3 4 5 6 7 8 9 10 11 12 13 14 | |
Soit une image binaire représentée dans un tableau à 2 dimensions. Les éléments
`M[i][j]`, appelés pixels, sont égaux soit à `0` soit à `1`.
Une composante d’une image est un sous-ensemble de l’image constitué uniquement de
`1` et de `0` qui sont côte à côte, soit horizontalement soit verticalement.
Par exemple, les composantes de
{: .center}
sont
{: .center width=30%}
On souhaite, à partir d’un pixel égal à `1` dans une image `M`, donner la valeur `val` à tous
les pixels de la composante à laquelle appartient ce pixel.
La fonction `colore_comp1` prend pour paramètre une image `M` (représentée par une liste de
listes), deux entiers `i` et `j` et une valeur entière `val`. Elle met à la valeur `val` tous les pixels de la composante du pixel
`M[i][j]` s’il vaut `1` et ne fait rien sinon.
Par exemple, `colore_comp1(M, 2, 1, 3)` donne
{: .center width=30%}
Compléter le code récursif de la fonction `colore_comp1` donné ci-dessous :
```python linenums='1'
def colore_comp1(M, i, j, val):
if M[i][j] != 1:
return
M[i][j] = val
if i-1 >= 0: # propage en haut
colore_comp1(M, i-1, j, val)
if ... < len(M): # propage en bas
colore_comp1(M, ..., j, val)
if ...: # propage à gauche
colore_comp1(M, ..., ..., val)
if ...: # propage à droite
...
```
:warning: *dans le sujet original, les commentaires sur la direction de propagation sont erronés* :warning:
Exemple :
```python
>>> M = [[0, 0, 1, 0], [0, 1, 0, 1], [1, 1, 1, 0], [0, 1, 1, 0]]
>>> colore_comp1(M, 2, 1, 3)
>>> M
[[0, 0, 1, 0], [0, 3, 0, 1], [3, 3, 3, 0], [0, 3, 3, 0]]
```
44_1
Dans cet exercice on cherche à calculer la moyenne pondérée d’un élève dans une matière donnée. Chaque note est associée à un coefficient qui la pondère.
Par exemple, si ses notes sont : 14 avec coefficient 3, 12 avec coefficient 1 et 16 avec coeffi- cient 2, sa moyenne pondérée sera donnée par
Écrire une fonction moyenne :
- qui prend en paramètre une liste notes non vide de tuples à deux éléments entiers
de la forme
(note, coefficient)(intoufloat) positifs ou nuls ; - et qui renvoie la moyenne pondérée des notes de la liste sous forme de flottant si la
somme des coefficients est non nulle,
Nonesinon.
Exemple :
>>> moyenne([(8, 2), (12, 0), (13.5, 1), (5, 0.5)])
9.142857142857142
>>> moyenne([(3, 0), (5, 0)])
None
1 2 3 4 5 6 7 8 9 | |
Dans cet exercice on cherche à calculer la moyenne pondérée d’un élève dans une matière
donnée. Chaque note est associée à un coefficient qui la pondère.
Par exemple, si ses notes sont : 14 avec coefficient 3, 12 avec coefficient 1 et 16 avec coeffi-
cient 2, sa moyenne pondérée sera donnée par
$$\dfrac{14 \times 3 + 12 \times 1 + 16 \times 2}{3+1+2}=14,333... $$
Écrire une fonction `moyenne` :
- qui prend en paramètre une liste notes non vide de tuples à deux éléments entiers
de la forme `(note, coefficient)` (`int` ou `float`) positifs ou nuls ;
- et qui renvoie la moyenne pondérée des notes de la liste sous forme de flottant si la
somme des coefficients est non nulle, `None` sinon.
Exemple :
```python
>>> moyenne([(8, 2), (12, 0), (13.5, 1), (5, 0.5)])
9.142857142857142
>>> moyenne([(3, 0), (5, 0)])
None
```
44_2
On travaille sur des dessins en noir et blanc obtenus à partir de pixels noirs et blancs :
La figure « cœur » ci-dessus va servir d’exemple.
On la représente par une grille de nombres, c’est-à-dire par une liste composée de sous-listes de même longueurs.
Chaque sous-liste représentera donc une ligne du dessin.
Dans le code ci-dessous, la fonction affiche permet d’afficher le dessin. Les pixels noirs
(1 dans la grille) seront représentés par le caractère "*" et les blancs (0 dans la grille) par
une espace.
La fonction liste_zoom prend en arguments une liste liste_depart et un entier k. Elle
renvoie une liste où chaque élément de liste_depart est dupliqué k fois.
La fonction dessin_zoom prend en argument la grille dessin et renvoie une grille où
toutes les lignes de dessin sont zoomées k fois et répétées k fois.
Compléter les fonctions liste_zoom et dessin_zoom du code suivant :
1 2 3 4 5 6 7 8 9 10 11 12 13 14 15 16 17 18 19 20 21 22 23 24 25 26 27 28 29 30 31 | |
Exemples :
>>> coeur = [[0, 0, 0, 0, 0, 0, 0, 0, 0, 0, 0, 0, 0],
[0, 0, 0, 1, 1, 0, 0, 0, 1, 1, 0, 0, 0],
[0, 0, 1, 0, 0, 1, 0, 1, 0, 0, 1, 0, 0],
[0, 1, 0, 0, 0, 0, 1, 0, 0, 0, 0, 1, 0],
[0, 1, 0, 0, 0, 0, 0, 0, 0, 0, 0, 1, 0],
[0, 1, 0, 0, 0, 0, 0, 0, 0, 0, 0, 1, 0],
[0, 0, 1, 0, 0, 0, 0, 0, 0, 0, 1, 0, 0],
[0, 0, 0, 1, 0, 0, 0, 0, 0, 1, 0, 0, 0],
[0, 0, 0, 0, 1, 0, 0, 0, 1, 0, 0, 0, 0],
[0, 0, 0, 0, 0, 1, 0, 1, 0, 0, 0, 0, 0],
[0, 0, 0, 0, 0, 0, 1, 0, 0, 0, 0, 0, 0],
[0, 0, 0, 0, 0, 0, 0, 0, 0, 0, 0, 0, 0]]
>>> affiche(coeur)
* * * *
* * * *
* * *
* *
* *
* *
* *
* *
* *
*
>>> affiche(dessin_zoom(coeur,2))
* * * * * * * *
* * * * * * * *
* * * * * * * *
* * * * * * * *
* * * * * *
* * * * * *
* * * *
* * * *
* * * *
* * * *
* * * *
* * * *
* * * *
* * * *
* * * *
* * * *
* * * *
* * * *
* *
* *
>>> liste_zoom([1,2,3],3)
[1, 1, 1, 2, 2, 2, 3, 3, 3]
1 2 3 4 5 6 7 8 9 10 11 12 13 14 15 16 17 18 19 20 21 22 23 24 25 26 27 28 29 30 31 32 33 34 35 36 37 38 39 40 41 42 43 44 | |
{: .center width=30%}
On travaille sur des dessins en noir et blanc obtenus à partir de pixels noirs et blancs :
La figure « cœur » ci-dessus va servir d’exemple.
On la représente par une grille de nombres, c’est-à-dire par une liste composée de sous-listes de même longueurs.
Chaque sous-liste représentera donc une ligne du dessin.
Dans le code ci-dessous, la fonction `affiche` permet d’afficher le dessin. Les pixels noirs
(1 dans la grille) seront représentés par le caractère "*" et les blancs (0 dans la grille) par
une espace.
La fonction `liste_zoom` prend en arguments une liste `liste_depart` et un entier `k`. Elle
renvoie une liste où chaque élément de `liste_depart` est dupliqué `k` fois.
La fonction `dessin_zoom` prend en argument la grille `dessin` et renvoie une grille où
toutes les lignes de `dessin` sont zoomées `k` fois et répétées `k` fois.
Compléter les fonctions `liste_zoom` et `dessin_zoom` du code suivant :
```python linenums='1'
def affiche(dessin):
''' affichage d'une grille : les 1 sont représentés par
un "*" , les 0 par une espace " " '''
for ligne in dessin:
affichage = ''
for col in ligne:
if col == 1:
affichage = affichage + "*"
else:
affichage = affichage + " "
print(affichage)
def liste_zoom(liste_depart,k):
'''renvoie une liste contenant k fois chaque élément de
liste_depart'''
liste_zoomee = ...
for elt in ... :
for i in range(k):
...
return liste_zoomee
def dessin_zoom(grille,k):
'''renvoie une grille où les lignes sont zoomées k fois
ET répétées k fois'''
grille_zoomee=[]
for ligne in grille:
ligne_zoomee = ...
for i in range(k):
... .append(...)
return grille_zoomee
```
Exemples :
```python
>>> coeur = [[0, 0, 0, 0, 0, 0, 0, 0, 0, 0, 0, 0, 0],
[0, 0, 0, 1, 1, 0, 0, 0, 1, 1, 0, 0, 0],
[0, 0, 1, 0, 0, 1, 0, 1, 0, 0, 1, 0, 0],
[0, 1, 0, 0, 0, 0, 1, 0, 0, 0, 0, 1, 0],
[0, 1, 0, 0, 0, 0, 0, 0, 0, 0, 0, 1, 0],
[0, 1, 0, 0, 0, 0, 0, 0, 0, 0, 0, 1, 0],
[0, 0, 1, 0, 0, 0, 0, 0, 0, 0, 1, 0, 0],
[0, 0, 0, 1, 0, 0, 0, 0, 0, 1, 0, 0, 0],
[0, 0, 0, 0, 1, 0, 0, 0, 1, 0, 0, 0, 0],
[0, 0, 0, 0, 0, 1, 0, 1, 0, 0, 0, 0, 0],
[0, 0, 0, 0, 0, 0, 1, 0, 0, 0, 0, 0, 0],
[0, 0, 0, 0, 0, 0, 0, 0, 0, 0, 0, 0, 0]]
>>> affiche(coeur)
* * * *
* * * *
* * *
* *
* *
* *
* *
* *
* *
*
>>> affiche(dessin_zoom(coeur,2))
* * * * * * * *
* * * * * * * *
* * * * * * * *
* * * * * * * *
* * * * * *
* * * * * *
* * * *
* * * *
* * * *
* * * *
* * * *
* * * *
* * * *
* * * *
* * * *
* * * *
* * * *
* * * *
* *
* *
>>> liste_zoom([1,2,3],3)
[1, 1, 1, 2, 2, 2, 3, 3, 3]
```
45_1
On considère des chaînes de caractères contenant uniquement des majuscules et des carac-
tères * appelées mots à trous.
Par exemple INFO*MA*IQUE, ***I***E** et
*S* sont des mots à trous.
Programmer une fonction correspond qui :
- prend en paramètres deux chaînes de caractères
motetmot_a_trousoùmot_a_trousest un mot à trous comme indiqué ci-dessus, - renvoie :
Truesi on peut obtenirmoten remplaçant convenablement les caractères'*'demot_a_trous.Falsesinon.
Exemple :
>>> correspond('INFORMATIQUE', 'INFO*MA*IQUE')
True
>>> correspond('AUTOMATIQUE', 'INFO*MA*IQUE')
False
>>> correspond('STOP', 'S*')
False
>>> correspond('AUTO', '*UT*')
True
1 2 3 4 5 6 7 | |
On considère des chaînes de caractères contenant uniquement des majuscules et des carac-
tères `*` appelées *mots à trous*.
Par exemple `INFO*MA*IQUE`, `***I***E**` et
`*S*` sont des mots à trous.
Programmer une fonction `correspond` qui :
- prend en paramètres deux chaînes de caractères `mot` et `mot_a_trous` où
`mot_a_trous` est un mot à trous comme indiqué ci-dessus,
- renvoie :
- `True` si on peut obtenir `mot` en remplaçant convenablement les caractères
`'*'` de `mot_a_trous`.
- `False` sinon.
Exemple :
```python
>>> correspond('INFORMATIQUE', 'INFO*MA*IQUE')
True
>>> correspond('AUTOMATIQUE', 'INFO*MA*IQUE')
False
>>> correspond('STOP', 'S*')
False
>>> correspond('AUTO', '*UT*')
True
```
45_2
On considère au plus 26 personnes A, B, C, D, E, F ... qui peuvent s'envoyer des messages avec deux règles à respecter :
- chaque personne ne peut envoyer des messages qu'à une seule personne (éventuellement elle-même),
- chaque personne ne peut recevoir des messages qu'en provenance d'une seule personne (éventuellement elle-même).
Voici un exemple - avec 6 personnes - de « plan d'envoi des messages » qui respecte les règles ci-dessus, puisque chaque personne est présente une seule fois dans chaque colonne :
- A envoie ses messages à E
- E envoie ses messages à B
- B envoie ses messages à F
- F envoie ses messages à A
- C envoie ses messages à D
- D envoie ses messages à C
Et le dictionnaire correspondant à ce plan d'envoi est le suivant :
plan_a = {'A':'E', 'B':'F', 'C':'D', 'D':'C', 'E':'B', 'F':'A'}
Un cycle est une suite de personnes dans laquelle la dernière est la même que la première.
Sur le plan d'envoi plan_a des messages ci-dessus, il y a deux cycles distincts : un premier
cycle avec A, E, B, F et un second cycle avec C et D.
En revanche, le plan d’envoi plan_b ci-dessous :
plan_b = {'A':'C', 'B':'F', 'C':'E', 'D':'A', 'E':'B', 'F':'D'}
comporte un unique cycle : A, C, E, B, F, D. Dans ce cas, lorsqu’un plan d’envoi comporte un unique cycle, on dit que le plan d’envoi est cyclique.
Pour savoir si un plan d'envoi de messages comportant N personnes est cyclique, on peut utiliser l'algorithme ci-dessous :
- on part d’un expéditeur (ici A) et on inspecte son destinataire dans le plan d'envoi,
- chaque destinataire devient à son tour expéditeur, selon le plan d’envoi, tant qu’on ne « retombe » pas sur l’expéditeur initial,
- le plan d’envoi est cyclique si on l’a parcouru en entier.
Compléter la fonction est_cyclique en respectant la spécification.
On rappelle que la fonction Python len permet d'obtenir la longueur d'un dictionnaire.
1 2 3 4 5 6 7 8 9 10 11 12 13 14 15 | |
Exemples :
>>> est_cyclique({'A':'E', 'F':'A', 'C':'D', 'E':'B', 'B':'F', 'D':'C'})
False
>>> est_cyclique({'A':'E', 'F':'C', 'C':'D', 'E':'B', 'B':'F', 'D':'A'})
True
>>> est_cyclique({'A':'B', 'F':'C', 'C':'D', 'E':'A', 'B':'F', 'D':'E'})
True
>>> est_cyclique({'A':'B', 'F':'A', 'C':'D', 'E':'C', 'B':'F', 'D':'E'})
False
1 2 3 4 5 6 7 8 9 10 11 12 13 14 15 16 17 18 19 20 21 | |
On considère au plus 26 personnes A, B, C, D, E, F ... qui peuvent s'envoyer des messages
avec deux règles à respecter :
- chaque personne ne peut envoyer des messages qu'à une seule personne
(éventuellement elle-même),
- chaque personne ne peut recevoir des messages qu'en provenance d'une seule
personne (éventuellement elle-même).
Voici un exemple - avec 6 personnes - de « plan d'envoi des messages » qui respecte les
règles ci-dessus, puisque chaque personne est présente une seule fois dans chaque
colonne :
- A envoie ses messages à E
- E envoie ses messages à B
- B envoie ses messages à F
- F envoie ses messages à A
- C envoie ses messages à D
- D envoie ses messages à C
Et le dictionnaire correspondant à ce plan d'envoi est le suivant :
`plan_a = {'A':'E', 'B':'F', 'C':'D', 'D':'C', 'E':'B', 'F':'A'}`
Un cycle est une suite de personnes dans laquelle la dernière est la même que la
première.
Sur le plan d'envoi `plan_a` des messages ci-dessus, il y a deux cycles distincts : un premier
cycle avec A, E, B, F et un second cycle avec C et D.
En revanche, le plan d’envoi `plan_b` ci-dessous :
`plan_b = {'A':'C', 'B':'F', 'C':'E', 'D':'A', 'E':'B', 'F':'D'}`
comporte un unique cycle : A, C, E, B, F, D. Dans ce cas, lorsqu’un plan d’envoi comporte un
*unique cycle*, on dit que le plan d’envoi est *cyclique*.
Pour savoir si un plan d'envoi de messages comportant N personnes est cyclique, on peut
utiliser l'algorithme ci-dessous :
- on part d’un expéditeur (ici A) et on inspecte son destinataire dans le plan d'envoi,
- chaque destinataire devient à son tour expéditeur, selon le plan d’envoi, tant
qu’on ne « retombe » pas sur l’expéditeur initial,
- le plan d’envoi est cyclique si on l’a parcouru en entier.
Compléter la fonction `est_cyclique` en respectant la spécification.
On rappelle que la fonction Python `len` permet d'obtenir la longueur d'un dictionnaire.
```python linenums='1'
def est_cyclique(plan):
'''Prend en paramètre un dictionnaire `plan` correspondant à
un plan d'envoi de messages (ici entre les personnes A, B, C,
D, E, F).
Renvoie True si le plan d'envoi de messages est cyclique et
False sinon.'''
expediteur = 'A'
destinataire = plan[...]
nb_destinataires = 1
while destinataire != expediteur:
destinataire = ...
nb_destinataires = ...
return nb_destinataires == ...
```
*Exemples :*
```python
>>> est_cyclique({'A':'E', 'F':'A', 'C':'D', 'E':'B', 'B':'F', 'D':'C'})
False
>>> est_cyclique({'A':'E', 'F':'C', 'C':'D', 'E':'B', 'B':'F', 'D':'A'})
True
>>> est_cyclique({'A':'B', 'F':'C', 'C':'D', 'E':'A', 'B':'F', 'D':'E'})
True
>>> est_cyclique({'A':'B', 'F':'A', 'C':'D', 'E':'C', 'B':'F', 'D':'E'})
False
```