TD⚓︎
Exercice 1
2021, Métropole sujet 1
Dans cet exercice, les arbres binaires de recherche ne peuvent pas comporter plusieurs fois la
même clé. De plus, un arbre binaire de recherche limité à un nœud a une hauteur de 1.
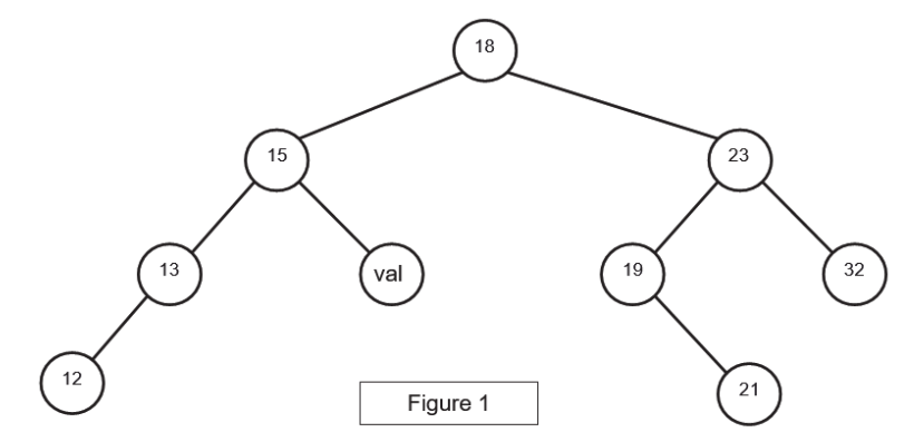
On considère l’arbre binaire de recherche représenté ci-dessous (figure 1), où val représente un entier :

1.a Donner le nombre de feuilles de cet arbre et préciser leur valeur (étiquette).
1.b Donner le sous arbre-gauche du nœud 23.
1.c Donner la hauteur et la taille de l’arbre.
1.d Donner les valeurs entières possibles de val pour cet arbre binaire de recherche.
On suppose, pour la suite de cet exercice, que val est égal à 16.
2. On rappelle qu’un parcours infixe depuis un nœud consiste, dans l’ordre, à faire un parcours
infixe sur le sous arbre-gauche, afficher le nœud puis faire un parcours infixe sur le sous-arbre
droit.
Dans le cas d’un parcours suffixe, on fait un parcours suffixe sur le sous-arbre gauche puis un
parcours suffixe sur le sous-arbre droit, avant d’afficher le nœud.
a. Donner les valeurs d’affichage des nœuds dans le cas du parcours infixe de l’arbre.
b. Donner les valeurs d’affichage des nœuds dans le cas du parcours suffixe de l’arbre.
3. On considère la classe Noeud définie de la façon suivante en Python :

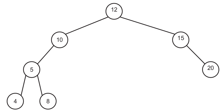
a. Représenter l’arbre construit suite à l’exécution de l’instruction suivante :
racine = Noeud(18)
racine.insere_tout([12, 13, 15, 16, 19, 21, 32, 23])
val est égal à 16.
c. On considère l’arbre tel qu’il est présenté sur la figure 1. Déterminer l’ordre d’exécution des
blocs (repérés de 1 à 3) suite à l’application de la méthode insere(19) au nœud racine
de cet arbre.
4. Écrire une méthode recherche(self, v) qui prend en argument un entier v et renvoie la
valeur True si cet entier est une étiquette de l’arbre, False sinon.
Exercice 2
Cet exercice porte sur la programmation orientée objet, sur les arbres binaires de recherche et la récursivité.
Chaque année, plusieurs courses de chiens de traîneaux sont organisées sur les terrains enneigés. L'une d'elle, La Traversée Blanche, est une course se déroulant en 9 étapes. L'organisateur de cette course est chargé de créer un programme Python pour aider à la bonne gestion de l'événement.
Partie A : la classe Chien⚓︎
Afin de caractériser un chien, l'organisateur décide de créer une classe Chien avec les attributs suivants :
- id_chien, un nombre entier correspondant au numéro attribué au chien lors de son inscription à la course ;
- nom, une chaîne de caractères correspondant au nom du chien ;
- role, une chaîne de caractères correspondant au poste occupé par le chien : en fonction de sa place dans l'attelage, un chien a un rôle bien défini et peut être 'leader', 'swing dog', 'wheel dog' ou 'team dog'.
- id_propriétaire, un nombre entier correspondant au numéro de l'équipe.
Le code Python incomplet de la classe Chien est donné ci-dessous.
1 class Chien:
2 def __init__(self, id_chien, nom, role, id_prop):
3 self.id_chien = id_chien
4 self.nom = nom
5 self.role = role
6 self.id_proprietaire = id_prop
7 def changer_role(self, nouveau_role):
8 """Change le rôle du chien avec la valeur passée en paramètre."""
9 ...
Voici un extrait des informations dont on dispose sur les chiens inscrits à la course.
Chiens inscrits à la course
| id_chien | nom | role | id_proprietaire |
|---|---|---|---|
| 40 | Duke | wheel dog | 10 |
| 41 | Sadie | team dog | 10 |
| 42 | Zeus | swing dog | 11 |
| 43 | Roxie | swing dog | 11 |
| 44 | Scout | team dog | 11 |
| 45 | Ginger | team dog | 11 |
| 46 | Helka | team dog | 11 |
Suite aux inscriptions, l'organisateur procède à la création de tous les objets de type Chien et les stocke dans des variables en choisissant un nom explicite. Ainsi, l'objet dont l'attribut id_chien a pour valeur 40 est stocké dans la variable chien40.
- Écrire l'instruction permettant d'instancier l'objet
chien40caractérisant le chien ayant le numéro d'inscription 40. - Selon l'état de fatigue de ses chiens ou du profil de l'étape, le musher (nom donné à la personne qui conduit le traîneau) peut décider de changer le rôle des chiens dans l'attelage.
Recopier et compléter la méthode
changer_rolede la classeChien. - Le propriétaire de Duke décide de lui attribuer le rôle de 'leader'. Écrire l'instruction permettant d'effectuer cette modification.
Partie B : la classe Equipe⚓︎
On souhaite à présent créer une classe Equipe ayant les attributs suivants :
num_dossard, un nombre entier correspondant au numéro inscrit sur le dossard du musher ;nom_equipe, une chaîne de caractères correspondant au nom de l'équipe ;liste_chiens, une liste d'objets de type Chien dont chaque élément correspond à un chien au départ de l'étape du jour ;temps_etape, une chaîne de caractères (par exemple '2h34') représentant le temps mis par l'équipe pour parcourir l'étape du jour ;liste_temps, une liste de chaînes de caractères permettant de stocker les temps de l'équipe pour chacune des 9 étapes. Cet attribut peut, par exemple, contenir la liste : ['4h36', '3h57', '3h09', '5h49', '4h45', '3h26', '4h57', '5h52', '4h31'].
On donne le code Python suivant de la classe Equipe.
1 class Equipe:
2 def __init__(self, num_dossard, nom_equipe):
3 self.num_dossard = num_dossard
4 self.nom_equipe = nom_equipe
5 self.liste_chiens = []
6 self.temps_etape = ''
7 self.liste_temps = []
8
9 def ajouter_chien(self, chien):
10 self.liste_chiens.append(chien)
11
12 def retirer_chien(self, numero):
13 ...
14
15 def ajouter_temps_etape(self, temps):
16 self.liste_temps.append(temps)
Pour la première étape, le musher de l'équipe numéro 11, représentée en Python par l'objet eq11, décide de constituer une équipe avec les quatre chiens identifiés par les numéros 42, 44, 45 et 46. On donne ci-dessous les instructions Python permettant de créer l'équipe eq11 et l'attelage constitué des 4 chiens précédents.
1 eq11 = Equipe(11, 'Malamutes Endurants')
2 eq11.ajouter_chien(chien42)
3 eq11.ajouter_chien(chien44)
4 eq11.ajouter_chien(chien45)
5 eq11.ajouter_chien(chien46)
Malheureusement, le musher s'aperçoit que sa chienne Helka, chien numéro 46, n'est pas au mieux de sa forme et il décide de la retirer de l'attelage.
-
Recopier et compléter la méthode
retirer_chienayant pour paramètrenumero, un entier correspondant au numéro attribué au chien lors de l'inscription, et permettant de mettre à jour l'attributliste_chiensaprès retrait du chien dont la valeur de l'attributid_chienestnumero. -
En vous aidant de la fonction précédente, écrire l'instruction qui permet de retirer Helka de l'attelage de l'équipe
eq11.
On donne à présent le code Python d'une fonction convert prenant pour paramètre chaine, une chaîne de caractères représentant une durée, donnée en heure et minute. On supposera que cette durée est toujours strictement inférieure à 10 heures, temps maximal fixé par le règlement pour terminer une étape.
1 def convert(chaine):
2 heure_dec = int(chaine[0]) + int(chaine[2] + chaine[3])/60
3 return heure_dec
- Indiquer le résultat renvoyé par l'appel
convert('4h36'). - Écrire une fonction
temps_coursequi prend pour paramètreequipede typeEquipeet qui renvoie un nombre flottant correspondant au cumul des temps de l'équipeequipeà l'issue des 9 étapes de la course. On rappelle que la classeEquipedispose d'un attributliste_temps.
Partie C : classement à l'issue d'une étape⚓︎
Chaque jour, à la fin de l'étape, on décide de construire un Arbre Binaire de Recherche (ABR) afin d'établir le classement des équipes. Chaque nœud de cet arbre est un objet de type Equipe.
Dans cet arbre binaire de recherche, en tout nœud :
- toutes les équipes du sous-arbre gauche sont strictement plus rapides que ce nœud ;
- toutes les équipes du sous-arbre droit sont moins rapides ou sont à égalité avec ce nœud.
Voici les temps, en heure et minute, relevés à l'issue de la première étape :
Temps à l'arrivée de la première étape
| Équipe | eq1 | eq2 | eq3 | eq4 | eq5 | eq6 | eq7 | eq8 | eq9 | eq10 | eq11 |
|---|---|---|---|---|---|---|---|---|---|---|---|
| Temps | 4h36 | 3h57 | 3h09 | 5h49 | 4h45 | 3h26 | 4h51 | 5h52 | 4h31 | 3h44 | 4h26 |
Dans l'arbre binaire de recherche initialement vide, on ajoute successivement, dans cet ordre, les équipes eq1, eq2, eq3, ..., eq11, 11 objets de la classe Equipe tous construits sur le même modèle que l'objet eq11 précédent.
- Dans l'arbre binaire de recherche ci-dessous, les nœuds
eq1eteq2ont été insérés. Recopier et compléter cet arbre en insérant les 9 nœuds manquants.

- Indiquer quel parcours d'arbre permet d'obtenir la liste des équipes classées de la plus rapide à la plus lente.
On donne ci-dessous la classe Noeud, permettant de définir les arbres binaires :
1 class Noeud:
2 def __init__(self, equipe, gauche = None, droit = None):
3 self.racine = equipe
4 self.gauche = gauche
5 self.droit = droit
On donne ci-dessous le code d'une fonction construction_arbre qui, à partir d'une liste d'éléments de type Noeud permet d'insérer successivement chaque nœud à sa place dans l'ABR.
1 def construction_arbre(liste):
2 a = Noeud(liste[0])
3 for i in range(1, len(liste)):
4 inserer(a, liste[i])
5 return a
La fonction construction_arbre fait appel à la fonction inserer qui prend pour paramètre arb, de type Noeud, et eq, de type Equipe. Cette fonction construit le nœud à partir de eq et l'insère à sa place dans l'ABR.
1 def inserer(arb, eq):
2 """ Insertion d'une équipe à sa place dans un ABR contenant
3 au moins un noeud."""
4 if convert(eq.temps_etape) < convert(arb.racine.temps_etape):
5 if arb.gauche is None:
6 arb.gauche = ...
7 else:
8 inserer(..., eq)
9 else:
10 if arb.droit is None:
11 arb.droit = Noeud(eq)
12 else:
13 ...
-
Expliquer en quoi la fonction
insererest une fonction récursive. -
Recopier et compléter les lignes 6, 8 et 13 de la fonction
inserer. -
Recopier et compléter les lignes 3 et 5 de la fonction
est_gagnanteci-dessous qui prend en paramètre un ABRarbre, de typeNoeud, et qui renvoie le nom de l'équipe ayant gagné l'étape.
1 def est_gagnante(arbre):
2 if arbre.gauche == None:
3 return ...
4 else:
5 return ...
Partie D : classement général⚓︎
On décide d'établir un classement général obtenu à partir du cumul des temps mis par chaque équipe pour parcourir l'ensemble des 9 étapes.
Sur le même principe que l'arbre de la partie précédente, on construit l'ABR ci-dessous qui permet, grâce au parcours d'arbre approprié, d'établir ce classement général des équipes.

Le règlement prévoit la disqualification d'une équipe en cas de non-respect de celui-ci. Il s'avère que l'équipe 2 et l'équipe 5 doivent être disqualifiées pour manquement au règlement. Les nœuds eq2 et eq5 doivent donc être supprimés de l'ABR précédent.
Pour supprimer un nœud N dans un ABR, trois possibilités se présentent :
- le nœud N à supprimer est une feuille : il suffit de le retirer de l'arbre ;
- le nœud N à supprimer n'a qu'un seul fils : on relie le fils de N au père de N et on supprime le nœud N ;
- le nœud N à supprimer possède deux fils : on le remplace par son successeur (l'équipe qui a le temps immédiatement supérieur) qui est toujours le minimum de ses descendants droits.
- Dessiner le nouvel arbre de recherche a_final obtenu après suppression des équipes
eq2eteq5dans l'ABR correspondant au classement général.
L'organisateur souhaite disposer d'une fonction rechercher permettant de savoir si une équipe a été disqualifiée ou non. On donne les spécifications de la fonction rechercher, prenant en paramètre arbre et équipe.
1 def rechercher(arbre, equipe):
2 """
3 Paramètres
4 ---
5 arbre : un ABR, non vide, de type Noeud, représentant le
6 classement général.
7 equipe : un élément, de type Equipe, dont on veut déterminer
8 l'appartenance ou non à l'ABR arbre.
9 Résultat
10 ---
11 Cette fonction renvoie True si equipe est un nœud de arbre,
12 False sinon.
13 """
14 ...
Pour cette fonction (a_final désigne l'arbre obtenu à la question 13, après suppression des équipes 2 et 5) :
- l'appel
rechercher(a_final, eq1)renvoieTrue; - l'appel
rechercher(a_final, eq2)renvoieFalse.
- Écrire le code de la fonction
rechercher.
Exercice 3
Exercice 2 du sujet Nouvelle-Calédonie J2 2022